【推荐系统】⚠️手把手带你学推荐系统 1⚠️ 简介
概述
推荐系统 (Recommender System) 是一个信息过滤系统, 在很多领域都有广泛的使用. 推荐系统可以为用户提供个性化的产品, 挖掘用户的潜在需求. 从今天开始, 小白我就带大家来学习一下推荐系统方向的知识.

为什么要学推荐系统
随着互联网和大数据的迅速发展, 如何快速准确的获取有价值的信息越发的重要. 推荐系统 (Recommender System) 可以精准高效的获取信息, 过滤信息, 就可以很好的解决这个问题. 推荐系统方向在未来的数十年都会有很好的发展.

- 用户基本属性
- 用户购买能力
- 用户行为特征
- 用户兴趣爱好
- 用户社交网络
- 用户心理特征
相似度计算
简单说一下推荐系统会使用到的三种相似度计算方法.

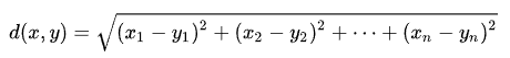
欧几里德距离
欧几里德距离 (Euclidean Distance) 是计算相似度的一种常见的方法. 通过建立多维公式, 计算两个点之间的距离来反映两个用户兴趣的相似程度.

公式:

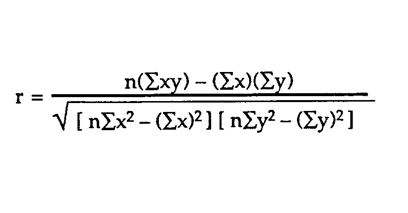
皮尔逊相关系数
皮尔斯相关系数 (Pearson Correlation Coefficient) 是用来衡量两个数据集合是否在一条线上面, 范围为 [-1, 1].
公式:

当相关系数为 1 时, 成完全正相关; 当相关系数为 -1 时, 成完全负相关. 相关系数的绝对值越大, 相关性就越强; 反之, 越接近于 0, 相关性就越小.

余弦相似度
余弦相似度 (Cosine Similarity) 通过测量两个向量的家教的余弦值来度量它们之间的相似性.
公式:

文章来源: iamarookie.blog.csdn.net,作者:我是小白呀,版权归原作者所有,如需转载,请联系作者。
原文链接:iamarookie.blog.csdn.net/article/details/120878680
- 点赞
- 收藏
- 关注作者
评论(0)