数据结构 第六节 第一课
[toc]
树与树算法
树的概念
树 ( 英语: tree ) 是一种抽象数据类型 ( ADT ) 或是实际\作这种抽象数据类型的数据结构, 用来模拟具有树状结构性质的数据集合. 它是由 n ( n >= 1 ) 个有限节点组成一个具有层次关系的集合. 把它叫做 "树" 是因为它看起来像一颗倒挂的树, 也就是说它是根朝上, 而叶朝下的. 它具有以下的特点:
- 每个节点都有零个或多个子节点:
- 没有父节点的节点称为根节点
- 每一个非根节点有且只有一个父节点
- 除了根节点外, 每个子节点可以分为多个不相交的子树
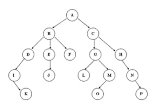
比如说:


树的术语
1. 节点的度: 一个节点含有的子树的个数称为该节点的度
2. 树的度: 一课树中, 最大的节点的度称为树的度
3. 叶节点或终端节点: 度为零的节点
4. 父亲节点或父节点: 若一个节点含有子节点, 则这个节点称为其子节点的父节点
5. 孩子节点或子节点: 一个节点含有的子树的根节点的子节点
6. 兄弟节点: 具有相同父节点的节点互相称为兄弟节点
7. 节点的层次: 从根开始定义起, 根为第 1 层, 根的子节点为第 2 层, 以此类推
8. 树的高度或深度: 树中节点的最大层次
9. 堂兄弟节点: 父节点在同一个层的节点互为堂兄弟节点
10. 节点的祖先: 从根到该节点所经分支上的所有节点
11. 子孙: 以某节点为根的子树中任一节点都称为该节点的子孙
12. 森林: 由 m ( m >= 0 ) 颗互不相交的树的集合称为森林
树的种类
1. 无序树: 树中任意节点的子节点之间没有顺序关系
2. 有序树: 树中任意节点的子节点之间有顺序关系, 这种书称为有序树
- 二叉树: 每个节点最多含有两个子树的树称为二叉树
1. 完全二叉树: 对于一颗二叉树, 假设其深度为 d ( d > 1 ). 除了 d 层外, 其他各层的节点数目均已达最大值, 且第 d 层所有的节点从左向右连续紧密排列, 这样的二叉树被称为完全二叉树
满二叉树: 所有叶节点都在最底层的完全二叉树
2. 平衡二叉树 ( AVL 树 ): 当且仅当任何节点的两棵子树的高度差不大于 1 的二叉树
3. 排序二叉树: 二叉查找树 ( 英语: Binary Search Tree ), 也称为二叉搜索树, 有序二叉树
- 霍夫曼树 ( 用于信息编码 ): 带权路最短的二叉树称为霍夫曼树或最优二叉树
- B树: 一种对读写操作进行优化的自平衡的二叉差找树, 能够保持数据有序, 拥有多余两个子树.
文章来源: iamarookie.blog.csdn.net,作者:我是小白呀,版权归原作者所有,如需转载,请联系作者。
原文链接:iamarookie.blog.csdn.net/article/details/109324715
- 点赞
- 收藏
- 关注作者
评论(0)