数学加强 第一节 第十六课
【摘要】
[toc]
贝叶斯公式
给定某系统的若干样本 x, 计算该系统的参数, 即
P(Θ): 没有数据支持下, Θ发生的概率: 先验概率P(Θ|x): 在数据 x 的支持下, Θ 发生的概率: 后验概率P(x|Θ): 给定某参数 Θ 的概率分布:似然函数
两点分布
0-1 分布
已知随机变量 X 的...
[toc]
贝叶斯公式
给定某系统的若干样本 x, 计算该系统的参数, 即

- P(Θ): 没有数据支持下, Θ发生的概率: 先验概率
- P(Θ|x): 在数据 x 的支持下, Θ 发生的概率: 后验概率
- P(x|Θ): 给定某参数 Θ 的概率分布:似然函数
两点分布
0-1 分布
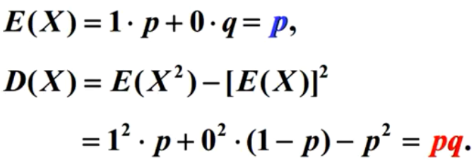
已知随机变量 X 的分布律为

则有:

文章来源: iamarookie.blog.csdn.net,作者:我是小白呀,版权归原作者所有,如需转载,请联系作者。
原文链接:iamarookie.blog.csdn.net/article/details/109792547
【版权声明】本文为华为云社区用户转载文章,如果您发现本社区中有涉嫌抄袭的内容,欢迎发送邮件进行举报,并提供相关证据,一经查实,本社区将立刻删除涉嫌侵权内容,举报邮箱:
cloudbbs@huaweicloud.com
- 点赞
- 收藏
- 关注作者
评论(0)