数学加强 第一节 第十八课
【摘要】
[toc]
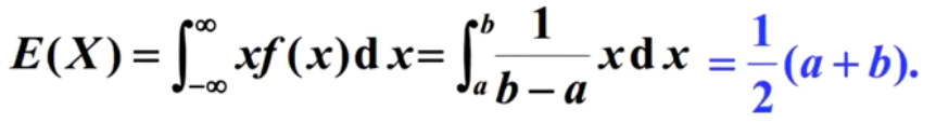
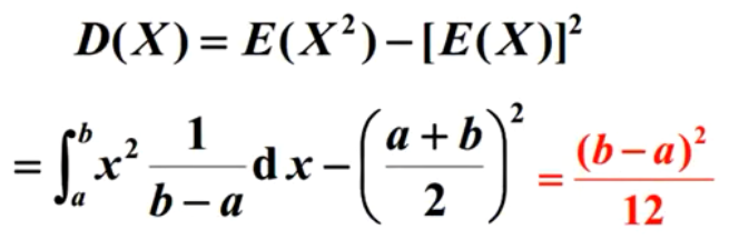
均匀分布
设 X ~ U(a,b), 其概率密度为:
则有:
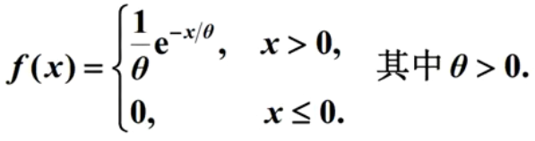
指数分布
其中 λ > 0 是分布的一个参数, 常被称为率参数 ( rate parameter ). 即每单位时间内发生某事件的次数. 指数分布的区间是 [0,∞].
如果一个随机变量 X 呈指数分布, 则可以协作: ...
[toc]
均匀分布
设 X ~ U(a,b), 其概率密度为:

则有:


指数分布

其中 λ > 0 是分布的一个参数, 常被称为率参数 ( rate parameter ). 即每单位时间内发生某事件的次数. 指数分布的区间是 [0,∞].
如果一个随机变量 X 呈指数分布, 则可以协作: X ~ Exponential(λ).
- 指数分布可以用来表达示独立随机发生的时间间隔, 比如旅客进机场的时间间隔, 软件更新的时间等等
- 许多电子产品的寿命分布一般服从指数分布, 有的系统的寿命分布也用指数分布来近似, 它在可靠性研究中是最常用的一种分布形式
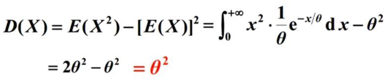
设随机变量 X 服从指数分布, 其概率密度为:

则有:


文章来源: iamarookie.blog.csdn.net,作者:我是小白呀,版权归原作者所有,如需转载,请联系作者。
原文链接:iamarookie.blog.csdn.net/article/details/109795726
【版权声明】本文为华为云社区用户转载文章,如果您发现本社区中有涉嫌抄袭的内容,欢迎发送邮件进行举报,并提供相关证据,一经查实,本社区将立刻删除涉嫌侵权内容,举报邮箱:
cloudbbs@huaweicloud.com
- 点赞
- 收藏
- 关注作者
评论(0)