数学加强 第一节 第十七课
        【摘要】 
                    [toc] 
二项分布 ( Bernouli Distribution ) 
设随机变量 X 服从参数为 n,p 二项分布. 
设 Xi 为第 i 次试验中事件 A 发生的次数, i = 1,2,3,...,n 
则:  
 
显然, Xi 相互独立均服从采纳数为 p 的 0-1 分布, 所以  
 
 
泊松分布 ...
    
    
    
    [toc]
二项分布 ( Bernouli Distribution )
设随机变量 X 服从参数为 n,p 二项分布.
设 Xi 为第 i 次试验中事件 A 发生的次数, i = 1,2,3,...,n
则:

显然, Xi 相互独立均服从采纳数为 p 的 0-1 分布, 所以


泊松分布 ( Poisson Distribution )
在实际事例中, 当一个随机事件, 以固定的平均瞬时速率 λ ( 或称密度 )随机且独立地出现时.
那么这个事件在单位时间 ( 面积或体积 ) 内出现的次数就近似地服从泊松分布 P(λ).
- 某一服务设施在一定时间内到达的人数
 - 电话交换机接到呼叫的次数
 - 汽车站态的候客人数
 - 机器出现的故障数
 - 自然灾害发生的次数
 - 一块产品上的缺陷数
 - 显微镜下单位分区内的细菌分布数
 - 某放射物质单位时间发射出的粒子数
 
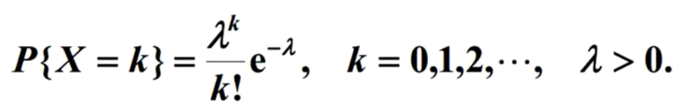
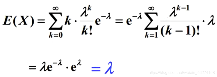
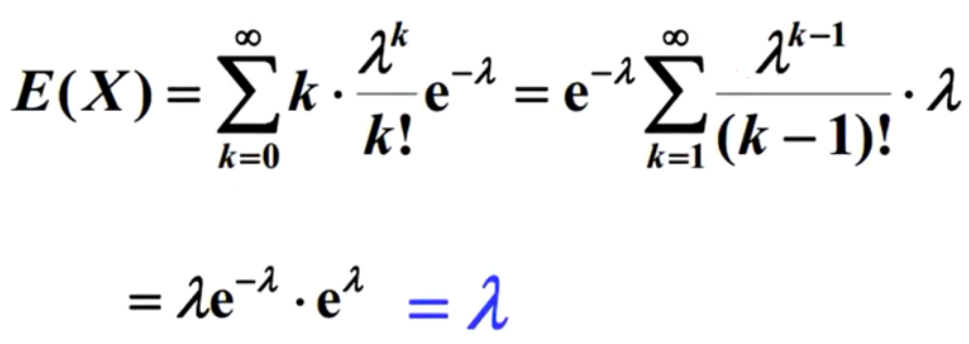
设 X ~ π(λ), 且分布律为

则有:

文章来源: iamarookie.blog.csdn.net,作者:我是小白呀,版权归原作者所有,如需转载,请联系作者。
原文链接:iamarookie.blog.csdn.net/article/details/109794793
        【版权声明】本文为华为云社区用户转载文章,如果您发现本社区中有涉嫌抄袭的内容,欢迎发送邮件进行举报,并提供相关证据,一经查实,本社区将立刻删除涉嫌侵权内容,举报邮箱:
            cloudbbs@huaweicloud.com
        
        
        
        
        - 点赞
 - 收藏
 - 关注作者
 
            
           
评论(0)