数学加强 第一节 第十九课
【摘要】
[toc]
指数分布的无记忆性
指数函数的一个重要特征是无记忆性 ( 遗失记忆性, Memoryless Property ).
如果一个随机变量呈指数分布, 当 s,t >=0 时有:
即, 如果 x 是某电器元件的寿命, 已知元件使用了 s 小时, 则共使用至少 s+t 小时的条件概率, 与从未使用用开...
[toc]
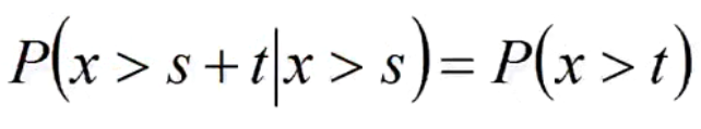
指数分布的无记忆性
指数函数的一个重要特征是无记忆性 ( 遗失记忆性, Memoryless Property ).
如果一个随机变量呈指数分布, 当 s,t >=0 时有:

即, 如果 x 是某电器元件的寿命, 已知元件使用了 s 小时, 则共使用至少 s+t 小时的条件概率, 与从未使用用开水至少使用 t 小时的概率相等.
二元正态分布

总结

文章来源: iamarookie.blog.csdn.net,作者:我是小白呀,版权归原作者所有,如需转载,请联系作者。
原文链接:iamarookie.blog.csdn.net/article/details/109796080
【版权声明】本文为华为云社区用户转载文章,如果您发现本社区中有涉嫌抄袭的内容,欢迎发送邮件进行举报,并提供相关证据,一经查实,本社区将立刻删除涉嫌侵权内容,举报邮箱:
cloudbbs@huaweicloud.com
- 点赞
- 收藏
- 关注作者
评论(0)