数学加强 第一节 第六课
【摘要】
[toc]
导数
简单的说, 导数就是曲线的斜率, 是曲线变化快慢的反应
二阶导数是斜率变化快慢的反应, 表征曲线凸凹性
二阶导数连续的曲线, 往往称之为 " 光顺" 的加速度的方向总是指向轨迹曲线凹的一侧
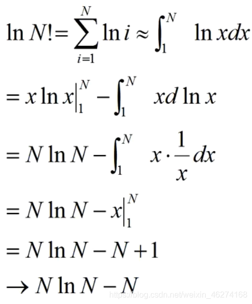
积分应用:
[toc]
导数
简单的说, 导数就是曲线的斜率, 是曲线变化快慢的反应
二阶导数是斜率变化快慢的反应, 表征曲线凸凹性
- 二阶导数连续的曲线, 往往称之为 " 光顺" 的
- 加速度的方向总是指向轨迹曲线凹的一侧

积分应用:

文章来源: iamarookie.blog.csdn.net,作者:我是小白呀,版权归原作者所有,如需转载,请联系作者。
原文链接:iamarookie.blog.csdn.net/article/details/109734103
【版权声明】本文为华为云社区用户转载文章,如果您发现本社区中有涉嫌抄袭的内容,欢迎发送邮件进行举报,并提供相关证据,一经查实,本社区将立刻删除涉嫌侵权内容,举报邮箱:
cloudbbs@huaweicloud.com
- 点赞
- 收藏
- 关注作者
评论(0)