数学加强 第一节 第九课
【摘要】
[toc]
方向导数
如果函数 z=f(x,y) 在点 P(x,y) 是可微分的, 那么, 函数在该点沿任一方向 L 的方向导数都存在, 且有:
梯度
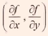
设函数 z=f(x,y) 在平面区域 D 内具有一阶连续偏导数, 则对于每一个点 P(x,y)∈D, 向量
为函数 z=f(x,y) 在点 P 的梯度, 记做 gran...
[toc]
方向导数
如果函数 z=f(x,y) 在点 P(x,y) 是可微分的, 那么, 函数在该点沿任一方向 L 的方向导数都存在, 且有:

梯度
设函数 z=f(x,y) 在平面区域 D 内具有一阶连续偏导数, 则对于每一个点 P(x,y)∈D, 向量

为函数 z=f(x,y) 在点 P 的梯度, 记做 grandf(x,y)
梯度的方向是函数在该点变化最快的方向
- 考虑一座解析式为 z=H(x,y) 的山, 在(N0,y0) 的梯度是在该点坡度变化最快的方向.
坡度下降法
文章来源: iamarookie.blog.csdn.net,作者:我是小白呀,版权归原作者所有,如需转载,请联系作者。
原文链接:iamarookie.blog.csdn.net/article/details/109740392
【版权声明】本文为华为云社区用户转载文章,如果您发现本社区中有涉嫌抄袭的内容,欢迎发送邮件进行举报,并提供相关证据,一经查实,本社区将立刻删除涉嫌侵权内容,举报邮箱:
cloudbbs@huaweicloud.com
- 点赞
- 收藏
- 关注作者
评论(0)