Leetcode刷题100天—144. 二叉树的前序遍历(二叉树)—day07
【摘要】 前言:作者:神的孩子在歌唱大家好,我叫运智给你二叉树的根节点 root ,返回它节点值的 前序 遍历。示例 1:输入:root = [1,null,2,3]输出:[1,2,3]示例 2:输入:root = []输出:[]示例 3:输入:root = [1]输出:[1]示例 4:输入:root = [1,2]输出:[1,2]示例 5:输入:root = [1,null,2]输出:[1,2]提示...
前言:
作者:神的孩子在歌唱
大家好,我叫运智

给你二叉树的根节点 root ,返回它节点值的 前序 遍历。
示例 1:

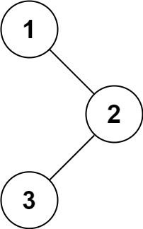
输入:root = [1,null,2,3]
输出:[1,2,3]
示例 2:
输入:root = []
输出:[]
示例 3:
输入:root = [1]
输出:[1]
示例 4:

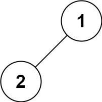
输入:root = [1,2]
输出:[1,2]
示例 5:

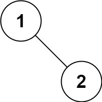
输入:root = [1,null,2]
输出:[1,2]
提示:
- 树中节点数目在范围 [0, 100] 内
- -100 <= Node.val <= 100
进阶:递归算法很简单,你可以通过迭代算法完成吗?
来源:力扣(LeetCode)
链接:https://leetcode-cn.com/problems/binary-tree-preorder-traversal
著作权归领扣网络所有。商业转载请联系官方授权,非商业转载请注明出处。
package 二叉树;
import java.util.List;
import java.nio.channels.NonWritableChannelException;
import java.util.ArrayList;
import java.util.Deque;
import java.util.LinkedList;
import java.util.Queue;
/*
* 2
* https://leetcode-cn.com/problems/binary-tree-preorder-traversal/
*/
public class _144_二叉树的前序遍历 {
// 递归,前序遍历
// public List<Integer> preorderTraversal(TreeNode root) {
// 创建一个列表
// List<Integer> res = new ArrayList<Integer>();
// 将链表和列表放入到函数中
// preorder(root, res);
// 返回遍历后的结果
// return res;
// }
//
// public void preorder(TreeNode root, List<Integer> res) {
// 如果链表为空就直接返回结果
// if (root == null) {
// return;
// }
// 将链表中的头节点值存入到列表中
// res.add(root.val);
// 在递归其左子树
// preorder(root.left, res);
// 在递归其右子树
// preorder(root.right, res);
// }
// 迭代
// public List<Integer> preorderTraversal(TreeNode root) {
// 设置列表
// List<Integer> res = new ArrayList<Integer>();
// 如果链表为空就直接返回
// if (root == null) {
// return res;
// }
////
//设置栈
// Deque<TreeNode> stack = new LinkedList<TreeNode>();
//// 指定根节点
// TreeNode node = root;
//// 如果栈不为空或者node不为null就一直循环
// while (!stack.isEmpty() || node != null) {
//// 先循环左节点
// while (node != null) {
//// 获取节点值
// res.add(node.val);
//// 将节点入栈
// stack.push(node);
//// 指定下一个左节点
// node = node.left;
// }
//// 左节点循环完毕就到右节点
// node = stack.pop();
// node = node.right;
// }
// return res;
// }
// }
}
本人csdn博客:https://blog.csdn.net/weixin_46654114
转载说明:跟我说明,务必注明来源,附带本人博客连接。
【声明】本内容来自华为云开发者社区博主,不代表华为云及华为云开发者社区的观点和立场。转载时必须标注文章的来源(华为云社区)、文章链接、文章作者等基本信息,否则作者和本社区有权追究责任。如果您发现本社区中有涉嫌抄袭的内容,欢迎发送邮件进行举报,并提供相关证据,一经查实,本社区将立刻删除涉嫌侵权内容,举报邮箱:
cloudbbs@huaweicloud.com
- 点赞
- 收藏
- 关注作者
评论(0)