再探Vector

@[toc]
今晚复习的时候,有一股很强烈的感觉,要重新进入STL看一下。曾几何时,我好像做过这样的事情,所以看到vector的那些知识点的时候有种莫名的亲切,又感觉我现在写到vector的博客里面零零散散的版块,好像是从以前某一篇里面拆出来的,可惜后面那篇被我删了。
后来我才知道,不要觉得某些点简单就删了,可能那时候是“高光时刻”,所以才会觉得简单吧。
灵魂拷问
先写个vector遍历删除的代码
void del_vec_foreach(vector<int>& vec,int target) {
for (vector<int>::iterator it = vec.begin(); it != vec.end();) {
if (*it == target) {
it = vec.erase(it);
}
else {
++it;
}
}
}
vector<T> vi1 = vi2 的时候发生了什么?
调用了拷贝构造函数。
1、vector使用的是深拷贝。
2、选择合适的拷贝算法。
/3、拷贝两类:
(一)对于POD类型直接采用memcpy进行拷贝;
(二)对于非POD类型需要采用for循环加new定位表达式;
4、切记拷贝完成之后释放掉原来的旧空间
源码之前,了无秘密
// 本实作中默认构造出的vector不分配内存空间
vector() : start(0), finish(0), end_of_storage(0) {}
vector(size_type n, const T& value) { fill_initialize(n, value); }
vector(int n, const T& value) { fill_initialize(n, value); }
vector(long n, const T& value) { fill_initialize(n, value); }
// 需要对象提供默认构造函数
explicit vector(size_type n) { fill_initialize(n, T()); }
// 在这里
vector(const vector<T, Alloc>& x){
start = allocate_and_copy(x.end() - x.begin(), x.begin(), x.end());
finish = start + (x.end() - x.begin());
end_of_storage = finish;
}
这个跟主题关系不大,不过我乐意放这儿
//维护了vector的三个迭代器,调用了allocate_and_fill函数
void fill_initialize(size_type n, const T& value) {
start = allocate_and_fill(n, value);
finish = start + n;
end_of_storage = finish;
}
protected:
//typedef simple_alloc<value_type, Alloc> data_allocator;
//vector给SGISTL的空间配置器设置了一个别名
iterator allocate_and_fill(size_type n, const T& x) {
iterator result = data_allocator::allocate(n);
/* __STL_TRY...__STL_UNWIND类似异常处理的try...catch语句块
* 这段代码的大意就是,初始化allocate分配的未初始化空间
* 如果失败了,则将分配的内存回收,防止内存泄露
= */
__STL_TRY {
//调用初始化uninitialized_fill_n未初始化的空间
uninitialized_fill_n(result, n, x);
return result;
}
__STL_UNWIND(data_allocator::deallocate(result, n));
}
再往下:allocate_and_copy(x.end() - x.begin(), x.begin(), x.end());
//allocate_and_copy整体和allocate_and_fill类似,只是他们初始化未初始化空间调用的函数不同
#ifdef __STL_MEMBER_TEMPLATES
template <class ForwardIterator>
iterator allocate_and_copy(size_type n,
ForwardIterator first, ForwardIterator last) {
iterator result = data_allocator::allocate(n);
__STL_TRY {
uninitialized_copy(first, last, result);
return result;
}
__STL_UNWIND(data_allocator::deallocate(result, n));
}
#else /* __STL_MEMBER_TEMPLATES */
iterator allocate_and_copy(size_type n,
const_iterator first, const_iterator last) {
iterator result = data_allocator::allocate(n);
__STL_TRY {
uninitialized_copy(first, last, result);
return result;
}
__STL_UNWIND(data_allocator::deallocate(result, n));
}
接下来还有个 range_initialize:
//根据迭代器的不同版本,重载了不同版本
template <class InputIterator>
void range_initialize(InputIterator first, InputIterator last,
input_iterator_tag) {
for ( ; first != last; ++first)
push_back(*first);
}
// This function is only called by the constructor. We have to worry
// about resource leaks, but not about maintaining invariants.
template <class ForwardIterator>
void range_initialize(ForwardIterator first, ForwardIterator last,
forward_iterator_tag) {
size_type n = 0;
distance(first, last, n);
start = allocate_and_copy(n, first, last);
finish = start + n;
end_of_storage = finish;
}
再往下,还没完。这里面出现了两个关键函数(或者说一个):
//调用初始化uninitialized_fill_n未初始化的空间
uninitialized_fill_n(result, n, x);
//allocate_and_copy整体和allocate_and_fill类似,只是他们初始化未初始化空间调用的函数不同
uninitialized_copy(first, last, result);
再往下:
template <class InputIterator, class ForwardIterator>
inline ForwardIterator uninitialized_copy(InputIterator first, InputIterator last, ForwardIterator result){
__uninitialized_copy(first, last, result, value_type(result));
__uninitialized_copy_aux(first, last, result, is_POD());
}
主要便是uninitialized_copy()调用__uninitialized_copy() 最后一个参数是value_type(result)
value_type(result)的作用是将 ForwardIterator result 转化为指针类型T
__uninitialized_copy() 中调用__uninitialized_copy_aux() 则是判断 T是否为POD type
template <class InputIterator, class ForwardIterator>
inline ForwardIterator __uninitialized_copy_aux(InputIterator first, InputIterator last,ForwardIterator result,__true_type) {
return copy(first, last, result);
}
template <class InputIterator, class ForwardIterator>
ForwardIterator __uninitialized_copy_aux(InputIterator first, InputIterator last,ForwardIterator result,__false_type) {
ForwardIterator cur = result;
__STL_TRY {
for ( ; first != last; ++first, ++cur)
construct(&*cur, *first);
return cur;
}
__STL_UNWIND(destroy(result, cur));
}
如何判断是否是POD type?
typedef typename __type_traits<T>::is_POD_type is_POD;
所有的基本类型都有如下定义
struct __type_traits<char> {
typedef __true_type is_POD_type;
};
struct __type_traits<signed char> {
typedef __true_type is_POD_type;
};
struct __type_traits<int> {
typedef __true_type is_POD_type;
};
而非基本类型则会对应到以下模板代码
template <class type>
struct __type_traits {
typedef __false_type is_POD_type;
};
所以当typename __type_traits<T>::is_POD_type的T 为int char double 等类型,is_POD_type为__true_type;
其他类型则is_POD_type为__false_type。
如果是POD type,就是基本数据类型(int char double等)那么就直接拷贝即可。
代码如下:
__true_type
return copy(first, last, result);
如果不是POD type 就需要依次调用构造函数创建数据
代码如下
__false_type
for ( ; first != last; ++first, ++cur)
construct(&*cur, *first);
copy是吧:

下面这种写法会有问题吗?
vector< int > ivec;
ivec[0] = 1024;
源码之前,了无密码
// 本实作中默认构造出的vector不分配内存空间
vector() : start(0), finish(0), end_of_storage(0) {}
ivec 还没有第一个元素,我们只能索引 vector 中已经存在的元素 size()操作返回 vector 包含的元素的个数 。
reference operator[](size_type n) { return *(begin() + n); }
那push_back为什么就可以呢?
void push_back(const T& x)
{
// 内存满足条件则直接追加元素, 否则需要重新分配内存空间
if (finish != end_of_storage)
{
construct(finish, x); //这是一个请求重新分配空间的函数
++finish;
}
else
insert_aux(end(), x);
}
STL 中vector删除其中的元素,迭代器如何变化?
当前迭代器及当前迭代器的后续迭代器全部失效,容器内元素从删除点之后全部前移,返回下一个有效的迭代器。
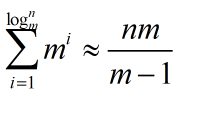
为什么要成倍的扩容而不是一次增加一个固定大小的容量呢?
成倍扩容时:
1、假定有 n 个元素,倍增因子为 m;
2、完成这 n 个元素往一个 vector 中的 push_back操作,需要重新分配内存的次数大约为 logm(n);
3、第 i 次重新分配将会导致复制 m^(i) (也就是当前的vector.size() 大小)个旧空间中元素;
4、n 次 push_back 操作所花费的时间复制度为O(n):

5、m / (m - 1),这是一个常量,均摊分析的方法可知,vector 中每次 push_back 操作的时间复杂度为常量时间.。
固定大小扩容时:
1、假定有 n 个元素,每次增加k个;
2、第 i 次增加复制的数量为为:100i
3、n 次 push_back 操作所花费的时间复杂度为O(n^2):

4、均摊下来每次push_back 操作的时间复杂度为O(n)
为什么是以两倍的方式扩容而不是三倍四倍,或者其他方式呢?
考虑可能产生的堆空间浪费,成倍增长倍数不能太大,使用较为广泛的扩容方式有两种,以2二倍的方式扩容,或者以1.5倍的方式扩容。
以2倍的方式扩容,导致下一次申请的内存必然大于之前分配内存的总和,导致之前分配的内存不能再被使用,所以最好倍增长因子设置为(1,2)之间:

在知乎上看到这么一张图,懂得人自然就懂了:

为了防止申请内存的浪费,现在使用较多的有2倍与1.5倍的增长方式,而1.5倍的增长方式可以更好的实现对内存的重复利用,因为更好。
释放空间?
由于vector的内存占用空间只增不减,比如你首先分配了10,000个字节,然后erase掉后面9,999个,留下一个有效元素,但是内存占用仍为10,000个。所有内存空间是在vector析构时候才能被系统回收。empty()用来检测容器是否为空的,clear()可以清空所有元素。但是即使clear(),vector所占用的内存空间依然如故,无法保证内存的回收。
如果真心想释放空间,可以用swap()来帮助你释放内存。
std::vector<int> tmp;
ivec.swap(tmp);
源码之前,了无秘密
// 交换两个vector, 实际上是交换内部的状态指针
void swap(vector<T, Alloc>& x)
{
__STD::swap(start, x.start);
__STD::swap(finish, x.finish);
__STD::swap(end_of_storage, x.end_of_storage);
}
看这段函数声明感觉?我一开始还以为在唬我!!不过如果真的可以这样,那时间复杂度将是极低的!!!
如果要实现,除非:
iterator start; // 内存空间起始点
iterator finish; // 当前使用的内存空间结束点
iterator end_of_storage; // 实际分配内存空间的结束点
果然,直接接管一块空间,不是拷贝、
不过这里倒没有看到回收内存的操作啊。。。
是后台空间配置器自己回收?
对于插入操作
对于插入操作,我还是要提一下:
// 提供插入操作
// insert_aux(iterator position, const T& x)
// |
// |---------------- 容量是否足够?
// ↓
// -----------------------------------------
// Yes | | No
// | |
// ↓ |
// 从opsition开始, 整体向后移动一个位置 |
// construct(finish, *(finish - 1)); |
// ++finish; |
// T x_copy = x; |
// copy_backward(position, finish - 2, finish - 1); |
// *position = x_copy; |
// ↓
// data_allocator::allocate(len);
// uninitialized_copy(start, position, new_start);
// construct(new_finish, x);
// ++new_finish;
// uninitialized_copy(position, finish, new_finish);
// destroy(begin(), end());
// deallocate();
- 点赞
- 收藏
- 关注作者
评论(0)