力扣每日一题,797. 所有可能的路径!!!
题目
给你一个有 n 个节点的 有向无环图(DAG) ,请你找出所有从节点 0 到节点 n-1 的路径并输出(不要求按特定顺序)
二维数组的第 i 个数组中的单元都表示有向图中 i 号节点所能到达的下一些节点,空就是没有下一个结点了。
译者注:有向图是有方向的,即规定了 a→b 你就不能从 b→a 。
示例 1:

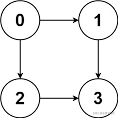
输入:graph = [[1,2],[3],[3],[]]
输出:[[0,1,3],[0,2,3]]
解释:有两条路径 0 -> 1 -> 3 和 0 -> 2 -> 3
示例 2:

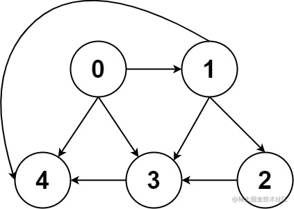
输入:graph = [[4,3,1],[3,2,4],[3],[4],[]]
输出:[[0,4],[0,3,4],[0,1,3,4],[0,1,2,3,4],[0,1,4]]
示例 3:
输入:graph = [[1],[]]
输出:[[0,1]]
示例 4:
输入:graph = [[1,2,3],[2],[3],[]]
输出:[[0,1,2,3],[0,2,3],[0,3]]
示例 5:
输入:graph = [[1,3],[2],[3],[]]
输出:[[0,1,2,3],[0,3]]
提示:
n == graph.length
2 <= n <= 15
0 <= graph[i][j] < n
graph[i][j] != i(即,不存在自环)
graph[i] 中的所有元素 互不相同
保证输入为 有向无环图(DAG)
解题思路
其实这是比较经典的一个DFS题目
而且是有向图,也就是说可以按照他的路线走,不会重复,那么也不用去判断时候重复走过
案例讲解

🔥以案例2为例
从0开始走,也就是起始点为索引0,索引为0的数组包含元素为:[4,3,1]
也就是说,从索引0可以到索引4或3或1,此时,list可以为0,4 或者 0,3或者0,1
以0,4为例,此时走到索引为4的数组,而索引为4的数组是空数组且是最后一个数组,那么0,4可作为一个答案
以0,3为例,此时走到索引为3的数组,而索引为3的数组为[4],那么此时就应该是0,3,4了,在走到索引为4即最后一个数组,则0,3,4可做为一个答案
以0,1为例,此时走到索引为1的数组,而索引为1的数组为[3,2,4],那么此时,又有三条路线,即0,1,3,0,1,2,0,1,4,也就是又可以走到索引为3、2、4的位置
我就不继续往下推了,相信小伙伴看见上面的已经懂了!!!
代码实现
class Solution {
private List<List<Integer>> res = new ArrayList<>();
public List<List<Integer>> allPathsSourceTarget(int[][] graph) {
dfs(0, graph, new ArrayList<Integer>());
return res;
}
private void dfs(int index, int[][] graph, List<Integer> list){
list.add(index);
if (index == graph.length - 1) {
res.add(new ArrayList<>(list));
return;
}
for (int i : graph[index]) {
dfs(i, graph, list);
list.remove(list.size() - 1);
}
}
}
❤最后
我是 Code皮皮虾,一个热爱分享知识的 皮皮虾爱好者,未来的日子里会不断更新出对大家有益的博文,期待大家的关注!!!
创作不易,如果这篇博文对各位有帮助,希望各位小伙伴可以==一键三连哦!==,感谢支持,我们下次再见~~~

- 点赞
- 收藏
- 关注作者
评论(0)