Leetcode刷题100天—83. 删除排序链表中的重复元素(链表)—day03
【摘要】
前言:
作者:神的孩子在歌唱 大家好,我叫运智
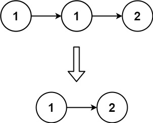
存在一个按升序排列的链表,给你这个链表的头节点 head ,请你删除所有重复的元素,使每个元素 只出现一次 。
返回同样按升序排列的结果链...
前言:
作者:神的孩子在歌唱
大家好,我叫运智

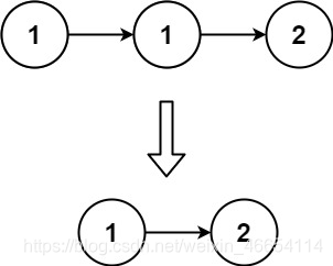
存在一个按升序排列的链表,给你这个链表的头节点 head ,请你删除所有重复的元素,使每个元素 只出现一次 。
返回同样按升序排列的结果链表。
示例 1:

输入:head = [
文章来源: chenyunzhi.blog.csdn.net,作者:神的孩子都在歌唱,版权归原作者所有,如需转载,请联系作者。
原文链接:chenyunzhi.blog.csdn.net/article/details/119335902
【版权声明】本文为华为云社区用户转载文章,如果您发现本社区中有涉嫌抄袭的内容,欢迎发送邮件进行举报,并提供相关证据,一经查实,本社区将立刻删除涉嫌侵权内容,举报邮箱:
cloudbbs@huaweicloud.com
- 点赞
- 收藏
- 关注作者
评论(0)