C# 二叉树的简介
什么是二叉树???
二叉树是树结构的一种特殊形式。它是n个节点的集合,每个节点最多只能有两个子结点,二叉树的子树仍然是二叉树。二叉树的一个结点对应的两个子树分别称为左子树和右子树。由于子树有左右之分,因此二叉树是有序树。

二叉树还可以进一步细分为两种特殊类型。满二叉树,完全二叉树(如上图)
**满二叉树:**即在二叉树中最下一层的叶节点外,每层的节点都有两个子结点。
**完全二叉树:**即在二叉树中除二叉树中最后一层外,其他各层的结点树都达到最大个数,且最后一层叶节点按照从左到右的顺序连续存在,只缺最后一层右侧若干个结点。
二叉树主要性质:
1,在二叉树的第i层最多有2^(i-1)个结点(i>=1)
2, 深度为K的二叉树至多有2^k -1个结点
3,对于一个完全二叉树,假设它有n个结点,对节点进行从开始编号,对任意结点i满足下面:
a,它的双亲是结点i/2(除了i=1的情况)
b,左孩子是2i,右孩子是2i+1
c,如果2*i>n说明无左孩子 2i+1>n说明无右孩子
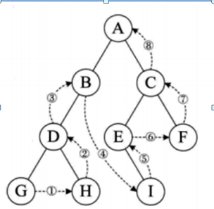
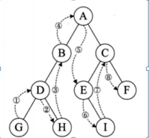
二叉树的几种遍历方法:
1,前序遍历:
当给出当前终点的数据,再依次遍历给出左结点和右结点。

2,中序遍历:
先遍历输出做结点,再输出当前结点,在遍历输出右结点

3,后序遍历
先遍历输出左结点,再遍历输出右结点,最后输出当前结点的数据
4,层序遍历
从树的第一层开始,从上到下逐层遍历,在同一层中,从左到右对结点 逐个访问输出
二叉树的存储–顺序存储以及遍历的方法
using System;
namespace _2_1_2二叉树顺序结构存储
{ /// <summary> /// T类型的二叉树类 /// </summary> /// <typeparam name="T"></typeparam> class BiTree<T> { private T[] data; private int count = 0; /// <summary> /// 构造方法 /// </summary> /// <param name="capacity">二叉树的容量</param> public BiTree(int capacity) { data = new T[capacity]; } /// <summary> /// 给二叉树添加数据 /// </summary> /// <param name="item">添加的数据</param> /// <returns></returns> public bool Add(T item) { if (count >= data.Length) return false; data[count] = item; count++; return true; } //提供给外部调用的公有方法--前序遍历 public void Forword() { Forword(0); } /// <summary> /// 前序遍历二叉树 /// </summary> private void Forword(int index) { //递归出口 if (index >= count) return; //不能大于数据的数量 if (data[index].Equals(-1)) return; //如果不是满二叉树,顺序存入的时候以-1代替,那么遍历到-1的时候就直接return。 //得到要遍历的结点的编号 int number = index + 1; Console.Write(data[index] + " "); //得到做结点的编号 int leftNum = number * 2; int rightNum = number * 2 + 1; //递归调用 Forword(leftNum - 1); Forword(rightNum - 1); } //中序遍历 public void Middle() { Middle(0); } /// <summary> /// 中序遍历二叉树 /// </summary> private void Middle(int index) { //递归出口 if (index >= count) return; if (data[index].Equals(-1)) return; //得到要遍历的结点的编号 int number = index + 1; //得到左子结点的编号 int leftNum = number * 2; int rightNum = number * 2 + 1; Middle(leftNum - 1); Console.Write(data[index] + " "); Middle(rightNum - 1); } //后序遍历 public void Last() { Last(0); } /// <summary> /// 后序遍历二叉树 /// </summary> private void Last(int index) { //递归出口 if (index >= count) return; if (data[index].Equals(-1)) return; //得到要遍历的结点的编号 int number = index + 1; //得到左子结点的编号 int leftNum = number * 2; int rightNum = number * 2 + 1; Middle(leftNum - 1); Middle(rightNum - 1); Console.Write(data[index] + " "); } }
}
- 1
- 2
- 3
- 4
- 5
- 6
- 7
- 8
- 9
- 10
- 11
- 12
- 13
- 14
- 15
- 16
- 17
- 18
- 19
- 20
- 21
- 22
- 23
- 24
- 25
- 26
- 27
- 28
- 29
- 30
- 31
- 32
- 33
- 34
- 35
- 36
- 37
- 38
- 39
- 40
- 41
- 42
- 43
- 44
- 45
- 46
- 47
- 48
- 49
- 50
- 51
- 52
- 53
- 54
- 55
- 56
- 57
- 58
- 59
- 60
- 61
- 62
- 63
- 64
- 65
- 66
- 67
- 68
- 69
- 70
- 71
- 72
- 73
- 74
- 75
- 76
- 77
- 78
- 79
- 80
- 81
- 82
- 83
- 84
- 85
- 86
- 87
- 88
- 89
- 90
- 91
- 92
- 93
- 94
- 95
- 96
- 97
- 98
- 99
- 100
- 101
- 102
- 103
- 104
- 105
- 106
- 107
- 108
- 109
- 110
- 111
- 112
using System;
namespace _2_1_2二叉树顺序结构存储
{ class Program { static void Main(string[] args) { //要存储到二叉树中的数据 char[] data = { 'A','B','C','D','E','F','G','H','I','J'}; //顺序存储二叉树 BiTree<char> tree = new BiTree<char>(10); for (int i = 0; i < data.Length; i++) { //存储数据到二叉树中 tree.Add(data[i]); } //调用遍历二叉树的方法 tree.Forword(); Console.WriteLine(); tree.Middle(); Console.WriteLine(); tree.Last(); Console.ReadKey(); } }
}
- 1
- 2
- 3
- 4
- 5
- 6
- 7
- 8
- 9
- 10
- 11
- 12
- 13
- 14
- 15
- 16
- 17
- 18
- 19
- 20
- 21
- 22
- 23
- 24
- 25
- 26
- 27
- 28
- 29
- 30
- 31
- 32
文章来源: czhenya.blog.csdn.net,作者:陈言必行,版权归原作者所有,如需转载,请联系作者。
原文链接:czhenya.blog.csdn.net/article/details/78828985
- 点赞
- 收藏
- 关注作者
评论(0)