LeetCode刷题(188)~环形链表 II【哈希|快慢指针】
【摘要】 题目描述
给定一个链表,返回链表开始入环的第一个节点。 如果链表无环,则返回 null。
为了表示给定链表中的环,我们使用整数 pos 来表示链表尾连接到链表中的位置(索引从 0 开始)。 如果 pos 是 -1,则在该链表中没有环。
说明:不允许修改给定的链表。
示例 1:
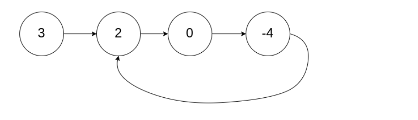
输入:head = [3,2,0,-4], pos = 1
输出:tail conn...
题目描述
给定一个链表,返回链表开始入环的第一个节点。 如果链表无环,则返回 null。
为了表示给定链表中的环,我们使用整数 pos 来表示链表尾连接到链表中的位置(索引从 0 开始)。 如果 pos 是 -1,则在该链表中没有环。
说明:不允许修改给定的链表。
示例 1:
输入:head = [3,2,0,-4], pos = 1
输出:tail connects to node index 1
解释:链表中有一个环,其尾部连接到第二个节点。
- 1
- 2
- 3

示例 2:
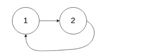
输入:head = [1,2], pos = 0
输出:tail connects to node index 0
解释:链表中有一个环,其尾部连接到第一个节点。
- 1
- 2
- 3

示例 3:
输入:head = [1], pos = -1
输出:no cycle
解释:链表中没有环。
- 1
- 2
- 3

进阶:
- 你是否可以不用额外空间解决此题?
解答 By 海轰
提交代码(哈希)
ListNode *detectCycle(ListNode *head) { unordered_set<ListNode*> s; while(head){ if(s.find(head)==s.end()){ s.insert(head); head=head->next; }else{ return head; } } return NULL; }
- 1
- 2
- 3
- 4
- 5
- 6
- 7
- 8
- 9
- 10
- 11
- 12
运行结果

提交代码(快慢指针)
ListNode *detectCycle(ListNode *head) { ListNode* fast=head; ListNode* slow=head; while(fast){ slow=slow->next; if(!fast->next) return NULL; fast=fast->next->next; if(slow==fast){ ListNode* ptr=head; while(ptr!=slow){ ptr=ptr->next; slow=slow->next; } return ptr; } } return NULL; }
- 1
- 2
- 3
- 4
- 5
- 6
- 7
- 8
- 9
- 10
- 11
- 12
- 13
- 14
- 15
- 16
- 17
- 18
运行结果

题目来源
来源:力扣(LeetCode)
链接:https://leetcode-cn.com/problems/linked-list-cycle-ii
文章来源: haihong.blog.csdn.net,作者:海轰Pro,版权归原作者所有,如需转载,请联系作者。
原文链接:haihong.blog.csdn.net/article/details/108992766
【版权声明】本文为华为云社区用户转载文章,如果您发现本社区中有涉嫌抄袭的内容,欢迎发送邮件进行举报,并提供相关证据,一经查实,本社区将立刻删除涉嫌侵权内容,举报邮箱:
cloudbbs@huaweicloud.com
- 点赞
- 收藏
- 关注作者
评论(0)