LeetCode刷题(116)~N叉树的前序遍历【递归 | 迭代】
【摘要】 题目描述
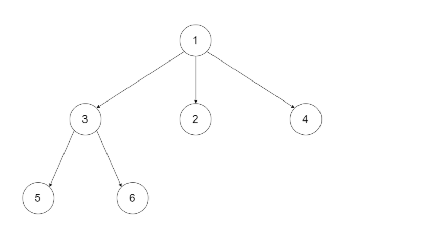
给定一个 N 叉树,返回其节点值的前序遍历。
例如,给定一个 3叉树 :
返回其前序遍历: [1,3,5,6,2,4]。
1
说明: 递归法很简单,你可以使用迭代法完成此题吗?
解答 By 海轰
提交代码(递归)
vector<int> ans; vector<int> preorder(Node* root) { i...
题目描述
给定一个 N 叉树,返回其节点值的前序遍历。
例如,给定一个 3叉树 :

返回其前序遍历: [1,3,5,6,2,4]。
- 1
说明: 递归法很简单,你可以使用迭代法完成此题吗?
解答 By 海轰
提交代码(递归)
vector<int> ans; vector<int> preorder(Node* root) { if(root==NULL) return ans; ans.push_back(root->val); if(root->children.size()!=0) { for(int i=0;i<root->children.size();++i) preorder(root->children[i]); } return ans; }
- 1
- 2
- 3
- 4
- 5
- 6
- 7
- 8
- 9
- 10
- 11
- 12
运行结果

提交代码(递归)
vector<int> ans; vector<int> preorder(Node* root) { if(root==NULL) return ans; ans.push_back(root->val); for(auto child:root->children) preorder(child); return ans; }
- 1
- 2
- 3
- 4
- 5
- 6
- 7
- 8
- 9
运行结果

提交代码(迭代)
vector<int> preorder(Node* root) { vector<int> ans; stack<Node*> s; if(root==NULL) return ans; s.push(root); while(!s.empty()) { Node* temp=s.top(); ans.push_back(temp->val); s.pop(); reverse(temp->children.begin(),temp->children.end()); for(auto child:temp->children) s.push(child); } return ans; }
- 1
- 2
- 3
- 4
- 5
- 6
- 7
- 8
- 9
- 10
- 11
- 12
- 13
- 14
- 15
- 16
- 17
运行结果

提交代码(迭代 优化)
vector<int> preorder(Node* root) { vector<int> ans; stack<Node*> s; if(root==NULL) return ans; s.push(root); while(!s.empty()) { Node* temp=s.top(); ans.push_back(temp->val); s.pop(); for(int i=temp->children.size()-1;i>=0;--i) s.push(temp->children[i]); } return ans; }
- 1
- 2
- 3
- 4
- 5
- 6
- 7
- 8
- 9
- 10
- 11
- 12
- 13
- 14
- 15
- 16
运行结果

题目来源
来源:力扣(LeetCode)
链接:https://leetcode-cn.com/problems/n-ary-tree-preorder-traversal
文章来源: haihong.blog.csdn.net,作者:海轰Pro,版权归原作者所有,如需转载,请联系作者。
原文链接:haihong.blog.csdn.net/article/details/108342480
【版权声明】本文为华为云社区用户转载文章,如果您发现本社区中有涉嫌抄袭的内容,欢迎发送邮件进行举报,并提供相关证据,一经查实,本社区将立刻删除涉嫌侵权内容,举报邮箱:
cloudbbs@huaweicloud.com
- 点赞
- 收藏
- 关注作者
评论(0)