相交链表Leetcode
【摘要】 一、题目
给定两个(单向)链表,判定它们是否相交并返回交点。请注意相交的定义基于节点的引用,而不是基于节点的值。
换句话说,如果一个链表的第k个节点与另一个链表的第j个节点是同一节点(引用完全相同),则这两个链表相交。
来源:力扣(LeetCode)
链接:https://leetcode-cn.com/problems/intersection-of-two-li...
一、题目
给定两个(单向)链表,判定它们是否相交并返回交点。请注意相交的定义基于节点的引用,而不是基于节点的值。
换句话说,如果一个链表的第k个节点与另一个链表的第j个节点是同一节点(引用完全相同),则这两个链表相交。
来源:力扣(LeetCode)
链接:https://leetcode-cn.com/problems/intersection-of-two-linked-lists-lcci
著作权归领扣网络所有。商业转载请联系官方授权,非商业转载请注明出处。
- 1
- 2
- 3
- 4
- 5
- 6
二、题解
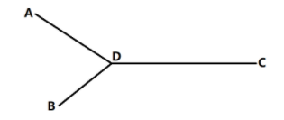
根据题意,两个链表相交的点是指: 该结点既在A链表上又在B链表上,说明A和B是相交的,而对于相交的情况,两条链表一定是这种结构:

因为如果链表A和链表B相交于D的话,那么说明D结点即在A上又在B上,而D之后的元素自然也就均在A和B上了,因为他们是通过next指针相连的。
如果有相交的结点D的话,每条链的头结点先走完自己的链表长度,然后回头走另外的一条链表,那么两结点一定为相交于D点,因为这时每个头结点走的距离是一样的,都是 AD + BD + DC,而他们每次又都是前进1,所以距离相同,速度又相同,固然一定会在相同的时间走到相同的结点上,即D点.
当链表A和B没有交点时,如下图所示。按照同样的方法,最后会在结点a和结点b会同时到达D点和C点,此时a=b=nullptr,退出循环,返回nullptr(即此时的a),表示无相交。

三、C++实现
/**
* Definition for singly-linked list.
* struct ListNode {
* int val;
* ListNode *next;
* ListNode(int x) : val(x), next(NULL) {}
* };
*/
class Solution {
public: ListNode *getIntersectionNode(ListNode *headA, ListNode *headB) { ListNode* a = headA; ListNode* b = headB; while (a != b) { a = a != nullptr ? a->next : headB; b = b != nullptr ? b->next : headA; } return a; }
};
- 1
- 2
- 3
- 4
- 5
- 6
- 7
- 8
- 9
- 10
- 11
- 12
- 13
- 14
- 15
- 16
- 17
- 18
- 19
- 20
- 21
- 22
文章来源: ai-wx.blog.csdn.net,作者:AI 菌,版权归原作者所有,如需转载,请联系作者。
原文链接:ai-wx.blog.csdn.net/article/details/117793656
【版权声明】本文为华为云社区用户转载文章,如果您发现本社区中有涉嫌抄袭的内容,欢迎发送邮件进行举报,并提供相关证据,一经查实,本社区将立刻删除涉嫌侵权内容,举报邮箱:
cloudbbs@huaweicloud.com
- 点赞
- 收藏
- 关注作者
评论(0)