matplotlib绘制3D曲面
【摘要】 思路介绍: 下面我们将使用matplotlib绘制Sinc函数: 1.首先确定绘制的区间,自变量范围x属于[-8, 8],y属于[-8, 8]。因此要先生成x,y的网格点坐标{(x, y)} 2.通过matplotlib绘制在区间上的函数3D曲面 3.显示出来
先展示3D效果: 程序清单:
import tensorflow as tf
import matpl...
思路介绍:
下面我们将使用matplotlib绘制Sinc函数:

1.首先确定绘制的区间,自变量范围x属于[-8, 8],y属于[-8, 8]。因此要先生成x,y的网格点坐标{(x, y)}
2.通过matplotlib绘制在区间上的函数3D曲面
3.显示出来
先展示3D效果:

程序清单:
import tensorflow as tf
import matplotlib.pyplot as plt
from mpl_toolkits.mplot3d import Axes3D
x = tf.linspace(-8., 8, 100) # 设置x的坐标间隔
y = tf.linspace(-8., 8, 100) # 设置x的坐标间隔
x, y = tf.meshgrid(x, y) # 生成网格点,并拆分后返回
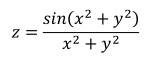
z = tf.sqrt(x**2 + y**2)
z = tf.sin(z)/z # sinc函数实现
fig = plt.figure()
ax = Axes3D(fig)
# 根据网格点绘制sinc函数3D曲线
ax.contour3D(x.numpy(), y.numpy(), z.numpy(), 50)
plt.show()
- 1
- 2
- 3
- 4
- 5
- 6
- 7
- 8
- 9
- 10
- 11
- 12
- 13
- 14
- 15
- 16
文章来源: ai-wx.blog.csdn.net,作者:AI 菌,版权归原作者所有,如需转载,请联系作者。
原文链接:ai-wx.blog.csdn.net/article/details/104719147
【版权声明】本文为华为云社区用户转载文章,如果您发现本社区中有涉嫌抄袭的内容,欢迎发送邮件进行举报,并提供相关证据,一经查实,本社区将立刻删除涉嫌侵权内容,举报邮箱:
cloudbbs@huaweicloud.com
- 点赞
- 收藏
- 关注作者
评论(0)