keras从入门到放弃(六)多层感知器(神经网络)
【摘要】 多层感知器(神经网络)
从线性回归模型和对数几率回归模型本质上都是单个神经元
计算输入特征的加权
使用一个激活函数计算输出
单个神经元(二分类)
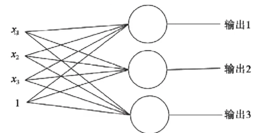
多和神经元(多分类)
但是单层神经元有缺陷
无法拟合“异或”运算
多去官网https://keras.io/zh/看看
因此多层感知器诞生
生物的
多层感知器(神经网络)
从线性回归模型和对数几率回归模型本质上都是单个神经元
- 计算输入特征的加权
- 使用一个激活函数计算输出
单个神经元(二分类)

多和神经元(多分类)

但是单层神经元有缺陷
无法拟合“异或”运算

多去官网https://keras.io/zh/看看
因此多层感知器诞生
生物的
文章来源: maoli.blog.csdn.net,作者:刘润森!,版权归原作者所有,如需转载,请联系作者。
原文链接:maoli.blog.csdn.net/article/details/88777955
【版权声明】本文为华为云社区用户转载文章,如果您发现本社区中有涉嫌抄袭的内容,欢迎发送邮件进行举报,并提供相关证据,一经查实,本社区将立刻删除涉嫌侵权内容,举报邮箱:
cloudbbs@huaweicloud.com
- 点赞
- 收藏
- 关注作者
评论(0)