Pearson相关系数
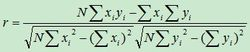
【摘要】 Pearson相关系数 [(Pearson CorrelationCoefficient)是用来衡量两个数据集合是否在一条线上面,它用来衡量定距变量间的线性关系
探究Pearson相关系数和数据分布
import numpy as np
from scipy import stats
import matplotlib as mpl
import matpl...
Pearson相关系数 [(Pearson CorrelationCoefficient)是用来衡量两个数据集合是否在一条线上面,它用来衡量定距变量间的线性关系


探究Pearson相关系数和数据分布
import numpy as np
from scipy import stats
import matplotlib as mpl
import matplotlib.pyplot as plt
import warnings
mpl.rcParams['axes.unicode_minus'] = False
mpl.rcParams['font.sans-serif'] = 'SimHei'
def calc_pearson(x, y): std1 = np.std(x) # np.sqrt(np.mean(x**2) - np.mean(x)**2) std2 = np.std(y) cov = np.cov(x, y, bias=True)[0,1] return cov / (std1 * std2)
def intro(): N = 10 x = np.random.rand(N)
- 1
- 2
- 3
- 4
- 5
- 6
- 7
- 8
- 9
- 10
- 11
- 12
- 13
- 14
- 15
- 16
- 17
- 18
- 19
文章来源: maoli.blog.csdn.net,作者:刘润森!,版权归原作者所有,如需转载,请联系作者。
原文链接:maoli.blog.csdn.net/article/details/89291145
【版权声明】本文为华为云社区用户转载文章,如果您发现本社区中有涉嫌抄袭的内容,欢迎发送邮件进行举报,并提供相关证据,一经查实,本社区将立刻删除涉嫌侵权内容,举报邮箱:
cloudbbs@huaweicloud.com
- 点赞
- 收藏
- 关注作者
评论(0)