BF 和RK 算法
BF算法
BF算法,即暴风(Brute Force)算法,是普通的模式匹配算法,BF算法的思想就是将目标串S的第一个字符与模式串T的第一个字符进行匹配,若相等,则继续比较S的第二个字符和 T的第二个字符;若不相等,则比较S的第二个字符和T的第一个字符,依次比较下去,直到得出最后的匹配结果。BF算法是一种蛮力算法。
从字符串A虫查找B

首先S[1]和T[1]比较,若相等,则再比较S[2]和T[2],一直到T[M]为止;若S[1]和T[1]不等,则S向右移动一个字符的位置,再依次进行比较。如果存在k,1≤k≤N,且S[k+1…k+M]=T[1…M],则匹配成功;否则失败。
该算法最坏情况下要进行M*(N-M+1)次比较,时间复杂度为O(M*N)。
模式串长度为m,主串长度为n,在主串,就会有n-m+1 个长度为m的子串,然后暴力对比n-m+1 个子串于模式串,找出对应配对的子串
RK 算法
在BF算法引进哈希算法
RK算法思想
假设我们有某个hash函数可以将字符串转换为一个整数,则hash结果不同的字符串肯定不同,但hash结果相同的字符串则很有可能相同(存在小概率不同的可能)。
算法每次从S中取长度为m的子串,将其hash结果与P的hash结果进行比较,若相等,则有可能匹配成功,若不相等,则继续从S中选新的子串进行比较。

假设要匹配的字符串的字符集值包含K个字符
,就可以用一个K进制来表示子串,这个K进制转化成十进制
比如包含a~z26个小写字母,映射到0 ~ 25个数字,a 表示 0,z 表示 25


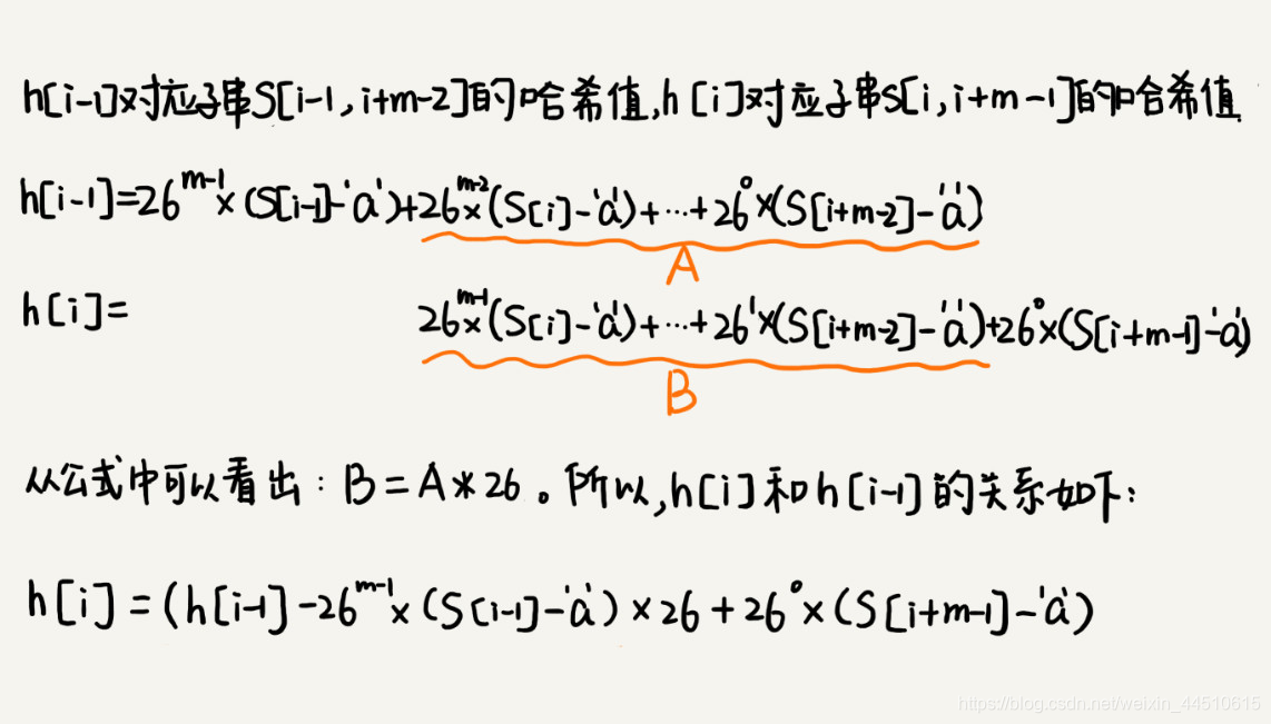
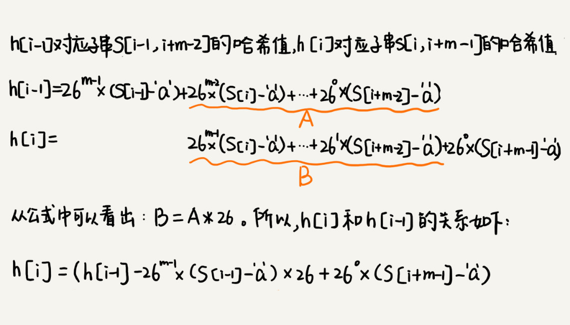
相邻两个子串s [ i-1] 和 s[i] ( i 表示子串在主串的其实位置,子串的长度都为m),对应的哈希值计算公式有交集。使用s [i-1] 的哈希值 很快计算出s [i ]的哈希值

RF算法比BF 算法要高
模式串哈希值于每一个哈希值之间的比较时间复杂度是 O ( 1 ) O(1) O(1),总需要n-m+1给子串的哈希值,所以 时间复杂度是 O ( n ) O(n) O(n)
文章来源: maoli.blog.csdn.net,作者:刘润森!,版权归原作者所有,如需转载,请联系作者。
原文链接:maoli.blog.csdn.net/article/details/90680468
- 点赞
- 收藏
- 关注作者
评论(0)