PCA方法及其应用
【摘要】 来源
https://www.icourse163.org/course/BIT-1001872001
主成分分析(PCA)
主成分分析(Principal Component Analysis,PCA)是最常用的 一种降维方法,通常用于高维数据集的探索与可视化,还可以用作数 据压缩和预处理等。
PCA可以把具有相关性的高维变量合成为线性无关的低维变量,称为...
来源
https://www.icourse163.org/course/BIT-1001872001
主成分分析(PCA)
- 主成分分析(Principal Component Analysis,PCA)是最常用的 一种降维方法,通常用于高维数据集的探索与可视化,还可以用作数 据压缩和预处理等。
- PCA可以把具有相关性的高维变量合成为线性无关的低维变量,称为 主成分。主成分能够尽可能保留原始数据的信息。
在介绍PCA的原理之前涉及到的相关术语:
- 方差
- 协方差
- 协方差矩阵
- 特征向量和特征值
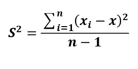
方差:是各个样本和样本均值的差的平方和的均值,用来度量一组 数据的分散程度

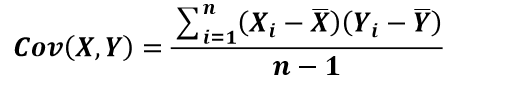
协方差:用于度量两个变量之间的线性相关性程度,若两个变量的 协方差为0,则可认为二者线性无关。协方差矩阵则是由变量的协方差值 构成的矩阵(对称阵)。

特征向量:矩阵的特征向量是描述数据集结构的非零向量,并满足 如下公式:

A是方阵, ?是特征向量,?
文章来源: maoli.blog.csdn.net,作者:刘润森!,版权归原作者所有,如需转载,请联系作者。
原文链接:maoli.blog.csdn.net/article/details/90581390
【版权声明】本文为华为云社区用户转载文章,如果您发现本社区中有涉嫌抄袭的内容,欢迎发送邮件进行举报,并提供相关证据,一经查实,本社区将立刻删除涉嫌侵权内容,举报邮箱:
cloudbbs@huaweicloud.com
- 点赞
- 收藏
- 关注作者
评论(0)