sklearn 岭回归
【摘要】 来源:
https://www.icourse163.org/course/BIT-1001872001
线性回归
对于一般地线性回归问题,参数的求解采用的是最小二乘法,其目标函 数如下:
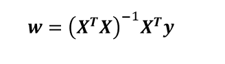
参数w的求解,也可以使用如下矩阵方法进行: 对于矩阵X,若某些列线性相关性较大(即训练样本中某些属性线性相 关),就会导致 X T X X^TX X
来源:
https://www.icourse163.org/course/BIT-1001872001
线性回归
对于一般地线性回归问题,参数的求解采用的是最小二乘法,其目标函 数如下:

参数w的求解,也可以使用如下矩阵方法进行:

对于矩阵X,若某些列线性相关性较大(即训练样本中某些属性线性相 关),就会导致 X T X X^TX X
文章来源: maoli.blog.csdn.net,作者:刘润森!,版权归原作者所有,如需转载,请联系作者。
原文链接:maoli.blog.csdn.net/article/details/90606670
【版权声明】本文为华为云社区用户转载文章,如果您发现本社区中有涉嫌抄袭的内容,欢迎发送邮件进行举报,并提供相关证据,一经查实,本社区将立刻删除涉嫌侵权内容,举报邮箱:
cloudbbs@huaweicloud.com
- 点赞
- 收藏
- 关注作者
评论(0)