二元随机变量分布
【摘要】 对于概率统计最重要的二元随机变量分布,本人的遗忘率比较大,所以有空整理下二元随机变量分布,用来不时查阅
文章目录
伯努利分布 二项式分布 指数分布 Gamma分布 beta分布 泊松分布 正态分布 卡方分布 t分布 F分布
伯努利分布
伯努利分布亦称“零一分布”、“两点分布”。称随机变量X有伯努利分布, 参数为p(0...
对于概率统计最重要的二元随机变量分布,本人的遗忘率比较大,所以有空整理下二元随机变量分布,用来不时查阅
伯努利分布
伯努利分布亦称“零一分布”、“两点分布”。称随机变量X有伯努利分布, 参数为p(0<p<1),如果它分别以概率p和1-p取1和0为值。EX= p,DX=p(1-p)。

如果随机变量X只取0和1两个值,并且相应的概率为:

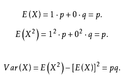
随机变量X服从参数为p的伯努利分布,若令q=1一p,则X的概率函数可写
文章来源: maoli.blog.csdn.net,作者:刘润森!,版权归原作者所有,如需转载,请联系作者。
原文链接:maoli.blog.csdn.net/article/details/95932206
【版权声明】本文为华为云社区用户转载文章,如果您发现本社区中有涉嫌抄袭的内容,欢迎发送邮件进行举报,并提供相关证据,一经查实,本社区将立刻删除涉嫌侵权内容,举报邮箱:
cloudbbs@huaweicloud.com
- 点赞
- 收藏
- 关注作者
评论(0)