RDKit | 比较化合物并通过PCA可视化化学空间
【摘要】 化学空间与指纹
化学空间是一个虚拟空间,放置了世界上所有可能存在的化合物。从概念上讲,取决于原子的连接方式,可以存在无限数量的化合物,因此可以说化合物空间具有巨大的尺寸。
实际工作中,有必要将化合物空间放到数学空间中。具体地说,必须根据某些规则将每个化合物转换为固定...
化学空间与指纹
化学空间是一个虚拟空间,放置了世界上所有可能存在的化合物。从概念上讲,取决于原子的连接方式,可以存在无限数量的化合物,因此可以说化合物空间具有巨大的尺寸。
实际工作中,有必要将化合物空间放到数学空间中。具体地说,必须根据某些规则将每个化合物转换为固定长度的向量。该向量称为指纹,并且已经提出了用于生成指纹的各种方法。
本文案例实际上使用了称为MACCS密钥指纹。MACCS密钥是一种简单的指纹,它使用包含166种子结构的字典,并且仅显示0/1是否要计算的化合物中包括每个结构。因此,该指纹是一个166维的二进制向量,并且每个维与特定的子结构一一对应。
计算化合物之间的相似性
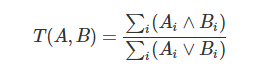
要评估化合物的相似性,可以计算每种化合物的指纹并计算指纹之间的相似性。Tanimoto系数系数通常用作化合物相似性的指标。

Tanimoto系数取值为0到1。
文章来源: drugai.blog.csdn.net,作者:DrugAI,版权归原作者所有,如需转载,请联系作者。
原文链接:drugai.blog.csdn.net/article/details/101693464
【版权声明】本文为华为云社区用户转载文章,如果您发现本社区中有涉嫌抄袭的内容,欢迎发送邮件进行举报,并提供相关证据,一经查实,本社区将立刻删除涉嫌侵权内容,举报邮箱:
cloudbbs@huaweicloud.com
- 点赞
- 收藏
- 关注作者
评论(0)