期末复习、化学反应工程科目(第五章)
@Author:Runsen
@Date:2020/7/1
人生最重要的不是所站的位置,而是内心所朝的方向。只要我在每篇博文中写得自己体会,修炼身心;在每天的不断重复学习中,耐住寂寞,练就真功,不畏艰难,奋勇前行,不忘初心,砥砺前行,人生定会有所收获,不留遗憾 (作者:Runsen )
作者介绍:Runsen目前大三下学期,专业化学工程与工艺,大学沉迷日语,Python, Java和一系列数据分析软件。导致翘课严重,专业排名中下。.在大学60%的时间,都在CSDN。决定今天比昨天要更加努力。我的征途是星辰大海!
期末考试来了,不能敲代码了,要赶紧预习,因为是疫情,考试是线上的,如果是线下的,基本挂定了,感谢苍天。
那个化学反应工程已经在考试的考试的考点给我的,考试是线上的,但是是用腾讯会议监控的,但是对我来说没用,我把考试的考点的答案写成博客,考试是的时候看博客直接抄,就是这样作弊,不作弊是不可靠的。我菜老师这个水平也不知道,
赶紧找书抄。写,考试必须及格。
不想写了,直接截图算了。
27、三个扩散(分子扩散、克努森扩散,综合扩散)





28、内扩散对复合反应选择性的影响
①两种独立并行的反应:内扩散的影响会降低反应选择性
②平行反应:
1.当两个平行反应级数相等(m=n)时,Sp不变
2.当主反应的反应级数小于副反应(m>n),Sp增加
3.当主反应的反应级数大于副反应时(m<n),Sp下降
③连串反应:内扩散的影响会降低反应选择性
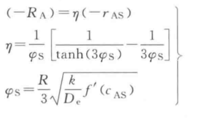
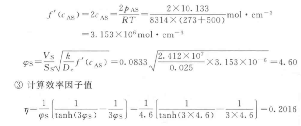
29、西勒模数


30、有效因子


31、坦克莱数

32、催化剂的失活
①失活原因分三类:
1、结构变化:烧结、 粉化、活性组分晶粒长大等。
2、物理失活:重结碳、粉尘、惰性组分吸附等。
3、化学中毒:原料中的有害物质 与催化剂活性组分发生反应,永久性结合。
②工业上处理失活的一般方法:
1、改进催化剂- -加强耐高温、抗毒性
2、采用"中期活性”设计反应器面把反应器设计时打出充分的余量
3、严格控制操作条件中排控制原料气中毒物的含量及反应温度等
4、优化操作,弥补活性下降营一催化剂活性下降后,采用例如升温等方法弥补
例题


作业1 6 7

、

文章来源: maoli.blog.csdn.net,作者:刘润森!,版权归原作者所有,如需转载,请联系作者。
原文链接:maoli.blog.csdn.net/article/details/107065319
- 点赞
- 收藏
- 关注作者
评论(0)