RDKit | 基于分子指纹的分子相似性
【摘要】
分子相似性:
相似性原理(similar property principle)指出,总体相似的分子应具有相似的生物活性。
相似性评估
化合物的指纹对于使用计算机考虑化合物的相似性是必需的。已经提出了各种评估方法,但是最常用的评估方法称为“ Tanimoto系数 ”。使用以下等式从两个分子A和B的位阵列指纹计算Tanimoto系数: ...
分子相似性:
相似性原理(similar property principle)指出,总体相似的分子应具有相似的生物活性。
相似性评估
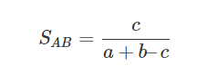
化合物的指纹对于使用计算机考虑化合物的相似性是必需的。已经提出了各种评估方法,但是最常用的评估方法称为“ Tanimoto系数 ”。使用以下等式从两个分子A和B的位阵列指纹计算Tanimoto系数:

导入库
-
import pandas as pd
-
from rdkit import rdBase, Chem, DataStructs
-
from rdkit.Avalon import pyAvalonTools
-
from rdkit.Chem import AllChem, Draw
-
from rdkit.Chem.Fingerprint
文章来源: drugai.blog.csdn.net,作者:DrugAI,版权归原作者所有,如需转载,请联系作者。
原文链接:drugai.blog.csdn.net/article/details/102543725
【版权声明】本文为华为云社区用户转载文章,如果您发现本社区中有涉嫌抄袭的内容,欢迎发送邮件进行举报,并提供相关证据,一经查实,本社区将立刻删除涉嫌侵权内容,举报邮箱:
cloudbbs@huaweicloud.com
- 点赞
- 收藏
- 关注作者
评论(0)