抗病毒药物小分子库推荐:RNA-Targeted Library
核苷(酸)类似物
核苷(酸)类似物(Nucleos(t)ide Analogue)是最大的一类抗病毒药物,也是最重要的抗病毒药物。治疗疱疹(HSV)的阿昔洛韦(Acyclovir),第一种治疗艾滋病(HIV)的药物齐多夫定(Zidovudine),治疗乙肝(HBV)的恩替卡韦(Entecavir)以及Gilead的明星丙肝药(HCV),史上最贵的药片索菲布韦(Sofosbuvir)都属于这一类药物。除了抗病毒,核苷(酸)类似物还可以用于治疗癌症。

核苷类抗病毒药物原理
核苷(酸)类似物针对的是病毒的聚合酶(Polymerase)。RNA病毒复制所需的RNA复制过程和逆转录病毒复制所需的逆转录过程在人体细胞中不会发生。因此病毒如果要复制,必须用自己的聚合酶,如RNA病毒的RNA复制酶(RdRp)和逆转录病毒的逆转录酶(RT)。而核苷(酸)类似物通过选择性的抑制病毒的聚合酶来阻止病毒的复制。
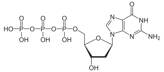
核苷酸(Nucleotide)是核酸,也就是DNA和RNA的基本组成单位,它由磷酸,五碳糖,碱基构成。其中,只含五碳糖和碱基的部分叫核苷(Nucleoside)。

腺嘌呤脱氧核苷酸的结构
核苷(酸)类似物就是一种结构修饰过的核苷(酸),这种修饰通常对五碳糖进行。比如齐多夫定就是胸腺嘧啶脱氧核苷的修饰,拉米夫定(Lamivudine)就是胞嘧啶脱氧核苷的修饰。下图是它们和对应的核苷的对比图,可以看出它们的结构其实是非常相似的,只是做了一点小小的修改。然而不要小看这小小的修改,背后可能是数十人的努力和数亿美元的研发成本。

当然,这种修饰不仅仅发生在五碳糖上,有时候碱基也是可以修饰的。比如恩曲它滨(Emtricitabine),它是一种胞嘧啶核苷类似物:
Emtricitabine
核苷(酸)类似物这种药物在药学上被归类为竞争性抑制剂(Competitive Inhibitor)。竞争性抑制剂的原理就是设计一种和底物(Substrate)结构相似的药物,让它“欺骗”病毒的酶,代替底物和酶结合,使酶不能和底物结合。然而,核苷(酸)类似物是一种特殊的竞争性抑制剂,它不仅能与病毒的聚合酶结合,还能作为反应物参与到反应当中。
无论是人体的DNA聚合酶,RNA聚合酶,还是病毒的RdRp和RT,它们核酸合成的原理都是一样的,都是沿着核酸的5’端到3‘端进行合成。作为原料的核苷酸,首先被三磷酸化(Triphosphorylation),变成三磷酸核苷(NTP),如图所示。除了ATP,其它的NTP都是细胞中的激酶(kinase)合成的。
ATP
三磷酸核苷与模板链发生配对,之后聚合酶水解掉两个磷酸,并利用释放出的能量连接磷酸和上一个核苷酸的羟基,使核酸链延长,如图所示:

核苷(酸)类似物要想发挥作用,首先也要被三磷酸化,因为三磷酸化合物不稳定,不能直接服用。三磷酸化的核苷(酸)类似物也能像三磷酸核苷那样,被病毒聚合酶添加到核酸链上。
然而,当病毒聚合酶试图加入下一个核苷酸时,问题出现了。像Zidovudine,Lamivudine由于在3‘碳原子的位置上缺乏羟基,下一个核苷酸无法添加到上面。这导致病毒聚合酶无法继续延长核酸链,于是反应中止。如图所示:

因此,一个核苷(酸)类似物要产生效果,需要满足三个条件:
-
能被细胞的酶三磷酸化(Triphosphorylation)
-
能作为反应物加入到新合成的核酸链上(Incorporation)
-
能阻止下一个核苷酸的加入(Chain Termination)
由于核苷(酸)类似物的这些特点,这使得它们相比一般的竞争性抑制剂有更强的效果。它能直接中止反应的进行,而不是减缓反应的速度。因此,核苷(酸)类似物是高效抗逆转录治疗(HAART)的主体。HAART就是由两种核苷(酸)类似物搭配另一种药物组成的。
RNA靶向分子库
药物筛选已知的靶向RNA的小分子化合物库是个不错的起点,这里推荐chem-space网站的RNA-Targeted Library,包含4500个靶向RNA的小分子。

链接
https://chem-space.com/compounds/rna-targeted-library
参考资料
-
https://zhuanlan.zhihu.com/p/107995543
-
https://www.zhihu.com/question/47443251
文章来源: drugai.blog.csdn.net,作者:DrugAI,版权归原作者所有,如需转载,请联系作者。
原文链接:drugai.blog.csdn.net/article/details/104489305
- 点赞
- 收藏
- 关注作者
评论(0)