RDKit | 基于RDKit绘制带原子索引的分子
        【摘要】  RDKit可以使用IPythonConsole轻松绘制分子。 
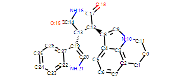
 用原子索引绘制分子。 
from rdkit import Chemfrom rdkit.Chem import Drawfrom rdkit.Chem.Draw import IPythonConsoleIPythonConsole.ipython_useSVG = True 
  
d...
    
    
    
    RDKit可以使用IPythonConsole轻松绘制分子。
用原子索引绘制分子。
  
   - 
    
     
    
    
     
      from rdkit import Chem
     
    
 
   - 
    
     
    
    
     
      from rdkit.Chem import Draw
     
    
 
   - 
    
     
    
    
     
      from rdkit.Chem.Draw import IPythonConsole
     
    
 
   - 
    
     
    
    
     
      IPythonConsole.ipython_useSVG = True
     
    
 
  
 
  
   - 
    
     
    
    
     
      def mol_with_atom_index( mol ):
     
    
 
   - 
    
     
    
    
     
       atoms = mol.GetNumAtoms()
     
    
 
   - 
    
     
    
    
      for idx in range( atoms ):
     
    
 
   - 
    
     
    
    
     
       mol.GetAtomWithIdx( idx ).SetProp( 'molAtomMapNumber', str( mol.GetAtomWithIdx( idx ).GetIdx() ) )
     
    
 
   - 
    
     
    
    
      return mol
     
    
 
  
 
mol = Chem.MolFromSmiles( "C1CC2=C3C(=CC=C2)C(=CN3C1)[C@H]4[C@@H](C(=O)NC4=O)C5=CNC6=CC=CC=C65" )
 
  
   - 
    
     
    
    
     
      #Default
     
    
 
   - 
    
     
    
    
     
      mol
     
    
 
  
 

  
   - 
    
     
    
    
     
      #With index
     
    
 
   - 
    
     
    
    
     
      mol_with_atom_index(mol)
     
    
 
  
 

文章来源: drugai.blog.csdn.net,作者:DrugAI,版权归原作者所有,如需转载,请联系作者。
原文链接:drugai.blog.csdn.net/article/details/104830716
        【版权声明】本文为华为云社区用户转载文章,如果您发现本社区中有涉嫌抄袭的内容,欢迎发送邮件进行举报,并提供相关证据,一经查实,本社区将立刻删除涉嫌侵权内容,举报邮箱:
            cloudbbs@huaweicloud.com
        
        
        
        
        - 点赞
 - 收藏
 - 关注作者
 
            
           
评论(0)