神经网络的参数形成与训练
神经网络的参数
导言
在上一篇神经网络的介绍当中,具体说明了一个神经元到整个神经网络的形式介绍,但其实并未说明完整;主要完成了神经网络对于“主动性”地一层层接受输入与输出结果,但并未说明其中的参数该如何进行确定的问题,这里将从实际运用的方面进行进一步的探讨。
参数形成
对于神经网络的参数,第一项主要的任务就是需要知道每一层所需的参数shape大小,这里通过图片的形式进行说明。

从这一简单的两层神经网络(输入层不算)开始说明。(为了节省计算成本,所有的神经网络的计算都是通过向量乘积的方式进行!而我使用Python进行代码书写)
由于输入x的shape大小为(2,1),而所运用到的式子为:Z=np.dot(W,X)+b,所以规定了W的参数shape大小格式为(n_h,n_x),其中n_x为x输入的个数为2,n_h为本层的神经元个数,也为2,所以第一层神经网络的shape大小为(2,2),而b的shape为(n_h,1),即(2,1)。(之后读者可以尝试想想第二层也就是Z^2的参数W、b的shape大小)
知道shape大小之后,便是初始化。这里我使用的如下代码进行初始化:
W = np.random.randn(n_h,n_x)*0.1
b = np.random.zeros((n_h,1))
这时就会有人会看到,都是使用random的方法,凭什么W用randn方法随机产生(n_h,n_x)的数字,而b却要用zeros产生所有都是0的数字呢?

首先,我们就要看原来的神经网络的结构了,如果所有的W(W1、W2……)都是用一种相同shape、数值大小的矩阵去初始化,那么在之后进行相同的输入值,相同的计算形式,所得到的值肯定是会一样的,那么就失去了多个神经元在同一层去进行参数设置的必要性,而若W之间的参数值不一样,那么就算是b的参数值为0,那么同一层的神经元也能体现出不同的效果了,对于参数的训练过程,其效果就没那么明显。
(这时杠精就要来了!)
那我让W用zeros来初始化,然后b用randn方法初始化也行呀!

嗯,我只能说,你说的有道理,但效率上还是不如randn去初始化,因为b的shape大小小于W的,所以给W进行randn初始化明显更加有效果。(至于都用randn初始化的想法,结合上面的想想,就知道这样不一定是锦上添花,而是画蛇添足)
当然这些杠精方法并不是不能出结果,而只是效率上小于或略小于我所写的初始化方法而已。

参数的训练
介绍完参数的形成,就到了训练的过程——因为初始化得到的结果不可能直接使用在我们所需要的模型上。
梯度下降
提出这个概念,这个算法是主要完成参数的训练,有以下模块。
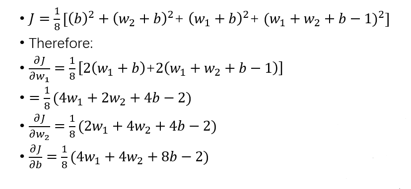
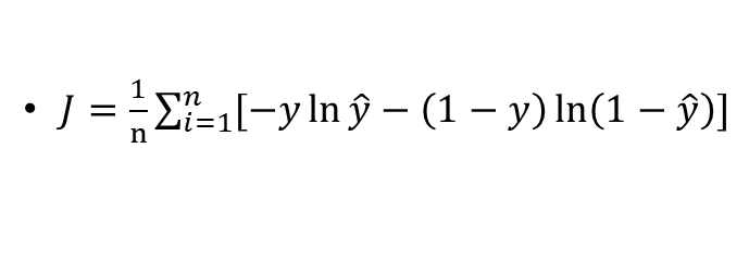
1. 损失函数
定义损失函数的作用主要看我进行参数训练的过程中,我参数形成的模型对于结果的得出效果如何。
基础函数LOSS FUNCTION:

这个较为容易就能看出计算yhat与y之间的差距的函数,即为损失函数,可以较好的判断此时计算出的yhat值对于实际结果y的差距。
j = 1/n* np.sum((np.expand_dims(Y,1)-S)**2)

如何缩减这个函数的大小值,就涉及到多元二次函数的求偏导问题。

从这个图像中较为清晰的感受到,如果我的W、b的取值能不断地趋近于J大小的底部时,那么说明损失值越小。那么就是通过求偏导、更新参数值地过程实现。
2. 求偏导
这个属于高数的范围,我就简单举例计算,展示过程即可(链式法则很重要!)

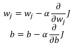
3. 更新参数
如何更新参数,我将以偏导后的函数值进行训练参数,偏导后,三维的函数图像,可以降维为二维进行说明。

以上是说明如下公式的运用:

W = W - α*G
其中,α为学习率,即每次更新参数的幅度设置,一般设计为较小值(例:α=0.001)G为所求的偏导函数值!
为此进行计算后,参数取值后,J所对应的值都会沿着弧线下降的过程,即表现为梯度下降的过程。

以上训练的过程又统称为向后传播(Back Propagation)
另一损失函数
之前基础的损失函数在无激活函数的线性神经网络的情况下还好,但加入激活函数后所得到的结果变得不那么理想。
(图片)
为此进一步提出更加适合有激活函数条件下的损失函数:

G = np.dot(X.T, 1 / n * (np.expand_dims(Y, 1) - S) * (-1) * S * (1 - S))
本损失函数的使用说明,在往后的文章中再作解释,这里不多做赘述。
依然是求偏导(链式法则)、更新参数。(以下举个偏导例子)

实际的全过程分为前向传播和后向传播两大部分,全过程举例展示如下:

结言
以上就是神经网络的参数形成和训练的全部内容,如果对你有帮助,请点个赞,还想了解后续更新,就点亮关注,或者再评论区提出你的疑问,谢谢!
- 点赞
- 收藏
- 关注作者
评论(0)