leetcode70 爬楼梯
【摘要】 假设你正在爬楼梯。需要 n 阶你才能到达楼顶。
每次你可以爬 1 或 2 个台阶。你有多少种不同的方法可以爬到楼顶呢?
注意:给定 n 是一个正整数。
示例 1:
输入: 2 输出: 2 解释: 有两种方法可以爬到楼顶。 1. 1 阶 + 1 阶 2. 2 阶 示例 2:
输入: 3 输出: 3 解释: 有三种方法可以爬到楼顶。 1...
假设你正在爬楼梯。需要 n 阶你才能到达楼顶。
每次你可以爬 1 或 2 个台阶。你有多少种不同的方法可以爬到楼顶呢?
注意:给定 n 是一个正整数。
示例 1:
输入: 2
输出: 2
解释: 有两种方法可以爬到楼顶。
1. 1 阶 + 1 阶
2. 2 阶
示例 2:
输入: 3
输出: 3
解释: 有三种方法可以爬到楼顶。
1. 1 阶 + 1 阶 + 1 阶
2. 1 阶 + 2 阶
3. 2 阶 + 1 阶
记忆化搜索
-
public class Solution {
-
public int climbStairs(int n) {
-
int memo[] = new int[n + 1];
-
return climb_Stairs(0, n, memo);
-
}
-
public int climb_Stairs(int i, int n, int memo[]) {
-
if (i > n) {
-
return 0;
-
}
-
if (i == n) {
-
return 1;
-
}
-
if (memo[i] > 0) {
-
return memo[i];
-
}
-
memo[i] = climb_Stairs(i + 1, n, memo) + climb_Stairs(i + 2, n, memo);
-
return memo[i];
-
}
-
}
dp
-
public class Solution {
-
public int climbStairs(int n) {
-
if (n == 1) {
-
return 1;
-
}
-
int[] dp = new int[n + 1];
-
dp[1] = 1;
-
dp[2] = 2;
-
for (int i = 3; i <= n; i++) {
-
dp[i] = dp[i - 1] + dp[i - 2];
-
}
-
return dp[n];
-
}
-
}
优化空间
-
public class Solution {
-
public int climbStairs(int n) {
-
if (n == 1) {
-
return 1;
-
}
-
int first = 1;
-
int second = 2;
-
for (int i = 3; i <= n; i++) {
-
int third = first + second;
-
first = second;
-
second = third;
-
}
-
return second;
-
}
-
}
矩阵快速幂
-
public class Solution {
-
public int climbStairs(int n) {
-
int[][] q = {{1, 1}, {1, 0}};
-
int[][] res = pow(q, n);
-
return res[0][0];
-
}
-
public int[][] pow(int[][] a, int n) {
-
int[][] ret = {{1, 0}, {0, 1}};
-
while (n > 0) {
-
if ((n & 1) == 1) {
-
ret = multiply(ret, a);
-
}
-
n >>= 1;
-
a = multiply(a, a);
-
}
-
return ret;
-
}
-
public int[][] multiply(int[][] a, int[][] b) {
-
int[][] c = new int[2][2];
-
for (int i = 0; i < 2; i++) {
-
for (int j = 0; j < 2; j++) {
-
c[i][j] = a[i][0] * b[0][j] + a[i][1] * b[1][j];
-
}
-
}
-
return c;
-
}
-
}
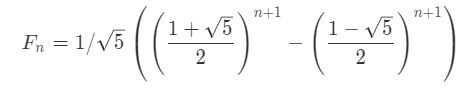
公式

-
public class Solution {
-
public int climbStairs(int n) {
-
double sqrt5=Math.sqrt(5);
-
double fibn=Math.pow((1+sqrt5)/2,n+1)-Math.pow((1-sqrt5)/2,n+1);
-
return (int)(fibn/sqrt5);
-
}
-
}

文章来源: fantianzuo.blog.csdn.net,作者:兔老大RabbitMQ,版权归原作者所有,如需转载,请联系作者。
原文链接:fantianzuo.blog.csdn.net/article/details/103201337
【版权声明】本文为华为云社区用户转载文章,如果您发现本社区中有涉嫌抄袭的内容,欢迎发送邮件进行举报,并提供相关证据,一经查实,本社区将立刻删除涉嫌侵权内容,举报邮箱:
cloudbbs@huaweicloud.com
- 点赞
- 收藏
- 关注作者
评论(0)