动态规划(详解矩阵连乘 案例+Java代码实现)
【摘要】
动态规划算法总体思想基本步骤矩阵连乘问题问题描述分析解决方法具体步骤案例Java代码实现
动态规划
History does not occur again
算法总体思想
与分治算法类似子问题往往不是互相独立的, (分治会重复计算)保存已解决的子问题的答案,需要时找出即可(空间换时间)
基本步骤
找出最优解的性质并刻划其结...
动态规划
History does not occur again
算法总体思想
- 与分治算法类似
- 子问题往往不是互相独立的, (分治会重复计算)
- 保存已解决的子问题的答案,需要时找出即可(空间换时间)
基本步骤
- 找出最优解的性质并刻划其结构特征
- 递归地定义最优值
- 以自底向上的方式计算出最优值(递推)
- 根据计算最优值时得到的信息构造最优解
矩阵连乘问题
问题描述
- 给定n个矩阵{A1, A2,…, An}, 其中Ai 与 Ai+1 是可乘的, i = 1, 2, …, n-1
- 如何确定连乘积的计算次序,使得依次次序计算矩阵连乘积所需要的数乘次数最少
分析
-
矩阵乘法满足结合律
->矩阵乘法可以有不同的计算次序 -
矩阵连乘的计算次序可以用加括号的方式来确定
->若矩阵连乘已完全加括号,则其计算次序完全确定 -
完全加括号的矩阵连乘可递归定义为:
- 单个矩阵是完全加括号的;
- 矩阵连乘积A是完全加括号的,则A可表示为2个完全加
括号的矩阵连乘积B和C的乘积并加括号,即 A=(BC)。
例,有四个矩阵A,B,C,D,它们的维数分别是: A=50×10,B=10×40, C=40×30, D=30×5
连乘积ABCD共有五种完全加括号的方式
(A((BC)D)) 16000 (A(B(CD))) 10500
((AB)(CD)) 36000 (((AB)C)D) 87500
((A(BC))D) 34500
解决方法
-
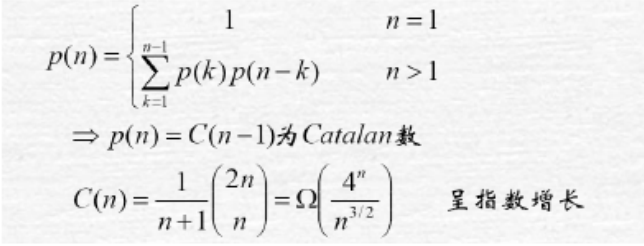
穷举法:列举出所有可能的计算次序,并计算出每一种计算次序相应需要的数乘次数,从中找到一种数乘次数最少的计算次序。
- 复杂性分析: 用p(n)表示n个矩阵链乘的穷举法计算成本,如果将n个矩阵从第k和k+1出隔开,对两个子序列再分别加扩号,则可以得到下面递归式:

很明显,指数级增长,此方法不太可行
-
动态规划
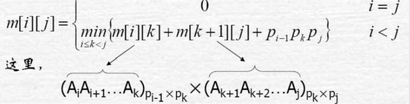
- 将矩阵连乘积AiAi+1…Aj简记为A[i:j] ,这里i≤j。考察计算A[i:j]的最优计算次序。设这个计算次序在矩阵Ak和 Ak+1之间将矩阵链断开,i≤k<j,则其相应完全加括号方式为(AiAi+1…Ak)(Ak+1Ak+2…Aj)
-> A[i:j]的计算量:A[i:k]的计算量加上A[k+1:j]的计算量,再加上A[i:k]和A[k+1:j]相乘的计算量
- 将矩阵连乘积AiAi+1…Aj简记为A[i:j] ,这里i≤j。考察计算A[i:j]的最优计算次序。设这个计算次序在矩阵Ak和 Ak+1之间将矩阵链断开,i≤k<j,则其相应完全加括号方式为(AiAi+1…Ak)(Ak+1Ak+2…Aj)
具体步骤
-
分析最优解的结构
- 特征:计算A[i:j]的最优次序所包含的计算矩阵子链A[i:k]和A[k+1:j]的次序也是最优的

-
建立递归关系
- 设计算A[i:j],1≤i≤j≤n,所需要的最少数乘次数m[i,j],则原问题的最优值为m[1,n]

k为断开位置
m[i][j]实际是子问题最优解的解值,保存下来避免重复计算
- 在递归计算时,许多子问题被重复计算多次。这也是该问题可用动态规划算法求解的又一显著特征
-
计算最优值
- 根据递归公式,对角线的值为0。其他值需要根据于断开位置k的值来得到,k ∈ \in ∈ [i,j),我们要遍历所有k,就要访问所求值的所有同一行左边的值和同一列下方的值。因此,在代码中我们可以使用自底向上、从左到右的计算顺序来依次填充,最终得到右上角的值。
-
构造最优解
- 前面我们已经讲数据记录在了数组中,直接查表即可构造最优解
案例
- 求矩阵链A1A2A3A4的最优运算次序。其中矩阵Ai的大小为pi-1×pi。其中P(0) = 5,P(1) = 7,P(2) = 4,P(3) = 3,P(4) = 5

Java代码实现
package MatrixChain;
public class Array { /**
* 求解最优值
* @param p: 矩阵维数信息数组
* @param m: 存放最优值数组, 上三角形式
* @param s: 存放分割位置下标的数组
* @return 返回最优值
**/
public static int matrixChain(int[] p, int[][] m, int[][] s) {
int n = p.length - 1;
for (int i = 1; i <= n; i++) // 本身为0 m[i][i] = 0; // 初始化二维数组
for (int r = 2; r <= n; r++) { for (int i = 1; i <= n - r + 1; i++) { int j = i + r - 1; // 先以i进行划分 m[i][j] = m[i + 1][j] + p[i - 1] * p[i] * p[j]; // 求出Ai到Aj的连乘 s[i][j] = i; // 记录划分位置 for (int k = i + 1; k < j; k++) { // 寻找是否有可优化的分割点 int t = m[i][k] + m[k + 1][j] + p[i - 1] * p[k] * p[j]; // 公式 if (t < m[i][j]) { m[i][j] = t; s[i][j] = k; } } }
}
return m[1][n];
} /**
* 输出 A[i:j] 的最优计算次序
* @param i、j: 连乘矩阵下标
* @param s: 存放分割位置下标的数组
**/
public static void traceback(int i, int j, int[][] s) {
// 输出A[i:j] 的最优计算次序
if (i == j) { // 递归出口 System.out.print("A"+i); return;
} else { System.out.print("("); // 递归输出左边 traceback(i, s[i][j], s); // 递归输出右边 traceback(s[i][j] + 1, j, s); System.out.print(")");
}
} public static void main(String[] args) {
int[] p = new int[]{5, 7, 4, 3, 5};
int[][] m = new int[p.length][p.length];
int[][] s = new int[p.length][p.length];
System.out.println("最优值为: "+matrixChain(p, m, s));
traceback(1, p.length-1, s);
}
}
- 1
- 2
- 3
- 4
- 5
- 6
- 7
- 8
- 9
- 10
- 11
- 12
- 13
- 14
- 15
- 16
- 17
- 18
- 19
- 20
- 21
- 22
- 23
- 24
- 25
- 26
- 27
- 28
- 29
- 30
- 31
- 32
- 33
- 34
- 35
- 36
- 37
- 38
- 39
- 40
- 41
- 42
- 43
- 44
- 45
- 46
- 47
- 48
- 49
- 50
- 51
- 52
- 53
- 54
- 55
- 56
- 57
- 58
- 59
- 60
- 61
- 62
- 63
- 64
最优值为: 264
((A1(A2A3))A4)
- 1
- 2
文章来源: ruochen.blog.csdn.net,作者:若尘,版权归原作者所有,如需转载,请联系作者。
原文链接:ruochen.blog.csdn.net/article/details/105010948
【版权声明】本文为华为云社区用户转载文章,如果您发现本社区中有涉嫌抄袭的内容,欢迎发送邮件进行举报,并提供相关证据,一经查实,本社区将立刻删除涉嫌侵权内容,举报邮箱:
cloudbbs@huaweicloud.com
- 点赞
- 收藏
- 关注作者
评论(0)