全排列两种实现方式(java)—poj2718
前言
以前遇到的全排列,清一色的dfs回溯,自己知道时间复杂度挺高的,最近遇到poj2718认真总结了下全排列。

全排列:给定几个数,要求找出所有的排列方式。
法一:dfs回溯法:
- 思路:回溯法的核心思路就是模拟过程,其实它相对简单因为你往往不需要考虑它的下一步是什么,你只需关注如果操作这些数。你往往可能不在意数的规则规律但是也能搞出来。
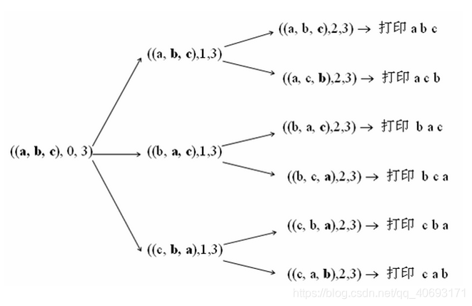
- 举个例子。有1,2,3,4,5五个数需要全排列。我用回溯法的话我可以用附加的数组,或者list,boolean数组等添加和删除模拟的数据。
- 比如第一次你可以循环将第一个赋值(1-5),在赋值每个数的时候标记那些用过,那些还能用的数据,执行dfs一直到底层。然后dfs执行完要将数据复原。比如标记的数据进行取消标记等等。
详细代码为
package 全排列;
import java.util.Scanner;
public class quanpailie1 {
public static void main(String[] args) {
Scanner sc = new Scanner(System.in);
String s[] = sc.nextLine().split(" ");
int a[] = new int[s.length];
for (int i = 0; i < s.length; i++) { a[i] = Integer.parseInt(s[i]);
}
int b[] = new int[a.length];
boolean b1[] = new boolean[a.length];// 判断是否被用
long startTime = System.currentTimeMillis();
dfs(b1, a, b, 0);
long endTime = System.currentTimeMillis();
System.out.println("运行时间:" + (endTime - startTime) + "ms");
}
private static void dfs(boolean[] b1, int[] a, int b[], int index) {
// TODO Auto-generated method stub
int len = a.length;
if (index == a.length)// 停止
{ if (b[0] == 0) { } else { for (int j : b) { System.out.print(j + " "); } System.out.println(); }
} else for (int i = 0; i < len; i++) { if (!b1[i]) { b[index] = a[i]; b1[i] = true;// 下层不能在用 dfs(b1, a, b, index + 1); b1[i] = false;// 还原 } }
}
}
- 1
- 2
- 3
- 4
- 5
- 6
- 7
- 8
- 9
- 10
- 11
- 12
- 13
- 14
- 15
- 16
- 17
- 18
- 19
- 20
- 21
- 22
- 23
- 24
- 25
- 26
- 27
- 28
- 29
- 30
- 31
- 32
- 33
- 34
- 35
- 36
- 37
- 38
- 39
- 40
- 41
- 42
- 43
- 44
- 45
- 46
输出打印结果为:
1 2 3 4
1 2 4 3
1 3 2 4
1 3 4 2
1 4 2 3
1 4 3 2
2 1 3 4
2 1 4 3
2 3 1 4
2 3 4 1
2 4 1 3
2 4 3 1
3 1 2 4
3 1 4 2
3 2 1 4
3 2 4 1
3 4 1 2
3 4 2 1
4 1 2 3
4 1 3 2
4 2 1 3
4 2 3 1
4 3 1 2
4 3 2 1
运行时间:2ms
法二:递归法
上述方法虽然能够实现全排列,但是方法的复杂度还是很高。指数级别增长。因为要遍历很多没用的情况。所以当数据较大并不能高速处理。所以换一种思路处理。
设[a,b,c,d]为abcd的全排列
那么,该全排列就是
[1,2,3,4](四个数的全排列)
-
1 [2,3,4](1开头[2,3,4]的全排列)
-
1 2 [3,4] (1,2开头的[3,4]全排列)
-
1 2 3 [4] =1 2 3 4(1 2 3 开头的[4]全排列)
-
1 2 4 [3]=1 2 3 4
-
1 3 [2,4]
-
1 3 2 [4]=1 3 2 4
-
1 3 4 [2]=1 3 4 2
-
1 4 [3,2]
-
1 4 3 [2]=1 4 3 2
-
1 4 2 [3]=1 4 2 3
-
2 [1,3,4]
-
2 1 [3,4]
-
2 1 3 [4]=2 1 3 4
-
2 1 4 [3]=2 1 4 3
-
2 3 [1,4]
-
2 3 1 [4]=2 3 1 4
-
2 3 4 [1]=2 3 4 1
-
2 4 [3,1]
-
2 4 3 [1]=2 4 3 1
-
2 4 1 [3]=2 4 1 3
-
3 [2,1,4]=(略)
-
3 2 [1,4]
-
3 1 [2,4]
-
3 4 [3,2]
-
4 [2,3,1](略)
-
4 2 [3,1]
-
4 3 [2,1]
-
4 1 [3,2]
对于全排列递归的模式为:(和dfs很像)
- isstop?: 判断递归终止
- stop
- do not stop:
- before recursive()
- recursive()
- after recursive()
根据上面的数据找点规律吧:
- 上面是递归没毛病。整个全排列就是子排列递归到最后遍历的所有情况
- 千万别被用回溯的获得全排列的数据影响。博主之前卡了很久一直想着从回溯到得到的数据中找到递归的关系,结果写着写着就写崩了。
- 递归的数据有规律。它只关注位置而不关注数据的大小排列。意思是说你不需要纠结每一种排列的初始态是啥。你只要关注他有那些数就行,举个例子,出台为1 [2,3,4]和1 [4,3,2]的效果一样,你需要关注的是1这个部分。1这个部分处理好递归自然会处理好子节点的关系。
- 对于同一层级 比如1[],2[],3[],4[],例如1,2,3,4而言,每一层如下的步骤,可以保证同层数据可靠,并且底层按照如下思路也是正确的。
- 1,2,3,4—>swap(0,0)—>1 [2 3 4] (子递归不用管)—>swap(0,0)—>1,2,3,4
- 1,2,3,4—>swap(0,1)—>2 [1 3 4] (子递归不用管)—>swap(0,1)—>1,2,3,4
- 1,2,3,4—>swap(0,2)—>3 [2 1 4] (子递归不用管)—>swap(0,1)—>1,2,3,4
- 1,2,3,4—>swap(0,3)—>4 [2 3 1] (子递归不用管)—>swap(0,1)—>1,2,3,4
- 所以整个全排列函数大致为:
- 停止
- 不停止:
-for(i from start to end) - swap(start,i)//i是从该层后面所有可能的全部要选一次排列到该层
- recursive(start 1)//该层确定,进入下一层子递归
- swap(start,i)//因为不能影响同层之间数据,要保证数据都是初始话
具体代码为:
import java.util.Scanner;
public class quanpailie2 {
public static void main(String[] args) {
// TODO Auto-generated method stub Scanner sc = new Scanner(System.in);
String s[] = sc.nextLine().split(" ");
int a[] = new int[s.length];
for (int i = 0; i < s.length; i++) { a[i] = Integer.parseInt(s[i]);
}
long startTime = System.currentTimeMillis();
arrange(a, 0, a.length - 1);
long endTime = System.currentTimeMillis();
System.out.println("运行时间:" + (endTime - startTime) + "ms");
}
static void arrange(int a[], int start, int end) { if (start == end) { for (int i : a) { System.out.print(i); } System.out.println(); return;
}
for (int i = start; i <= end; i++) { swap(a, i, start); arrange(a, start + 1, end); swap(a, i, start);
}
}
static void swap(int arr[], int i, int j) {
int te = arr[i];
arr[i] = arr[j];
arr[j] = te;
}
}
- 1
- 2
- 3
- 4
- 5
- 6
- 7
- 8
- 9
- 10
- 11
- 12
- 13
- 14
- 15
- 16
- 17
- 18
- 19
- 20
- 21
- 22
- 23
- 24
- 25
- 26
- 27
- 28
- 29
- 30
- 31
- 32
- 33
- 34
- 35
- 36
- 37
- 38
- 39
- 40
- 41
输入输出结果为:
1 2 3 4
1234
1243
1324
1342
1432
1423
2134
2143
2314
2341
2431
2413
3214
3241
3124
3142
3412
3421
4231
4213
4321
4312
4132
4123
运行时间:1ms
你可以发现两者采用的规则不同,输出的数据到后面是不一样的。但是你可能还没体验到大数据对程序运行的影响。我把输出的结果注释掉。用0 1 2 3 4 5 6 7 8 9进行全排序:


对于全排列,建议能采用递归还是递归。因为递归没有额外数组开销。并且计算的每一次都有用。而回溯会有很多无用计算。数只越大越明显。
poj2718
题意就是给几个不重复的数字,让你找出其中所有排列方式中组成的两个数的差值最小。除了大小为0否则0不做开头。
思路:全排列所有情况。最小的一定是该全排列从中间分成2半的数组差。要注意的就是0的处理,不日3个长度的0开头/其他长度的0开头等等。还有的人采用贪心剪枝。个人感觉数据并没有那么有规律贪心不一定好处理,但是你可以适当剪枝减少时间也是可以的。比如根据两个数据的首位 相应剪枝。但这题全排列就可以过。
还有一点就是:数据加减乘除转换,能用int就别用String,string转起来很慢会超时。
附上ac代码,代码可能并不漂亮,前面的介绍也可能有疏漏,还请大佬指出!
package 搜索;
import java.io.BufferedReader;
import java.io.IOException;
import java.io.InputStreamReader;
import java.io.OutputStreamWriter;
import java.io.PrintWriter;
public class poj2718 {
static int min = Integer.MAX_VALUE;
static int mid = 0;
public static void main(String[] args) throws IOException {
// TODO Auto-generated method stub BufferedReader in = new BufferedReader(new InputStreamReader(System.in));
PrintWriter out = new PrintWriter(new OutputStreamWriter(System.out));
int t = Integer.parseInt(in.readLine());
for (int q = 0; q < t; q++) { String s[] = in.readLine().split(" "); int a[] = new int[s.length]; for (int i = 0; i < s.length; i++) { a[i] = Integer.parseInt(s[i]); } min = Integer.MAX_VALUE; mid = (a.length) / 2; arrange(a, 0, a.length - 1); out.println(min); out.flush();
}
}
static void arrange(int a[], int start, int end) { if (start == end) {
// for(int i:a)
// {
// System.out.print(i);
// }
// System.out.println(); if ((a[0] == 0 && mid == 1) || (a[mid] == 0 && a.length - mid == 0) || (a[0] != 0 && a[mid] != 0)) { int va1 = 0; int va2 = 0; for (int i = 0; i < mid; i++) { va1 = va1 * 10 + a[i]; } for (int i = mid; i < a.length; i++) { va2 = va2 * 10 + a[i]; } min = min < Math.abs(va1 - va2) ? min : Math.abs(va1 - va2); } return;
}
for (int i = start; i <= end; i++) { swap(a, start, i); arrange(a, start + 1, end); swap(a, start, i);
}
}
static void swap(int arr[], int i, int j) {
int te = arr[i];
arr[i] = arr[j];
arr[j] = te;
}
}
- 1
- 2
- 3
- 4
- 5
- 6
- 7
- 8
- 9
- 10
- 11
- 12
- 13
- 14
- 15
- 16
- 17
- 18
- 19
- 20
- 21
- 22
- 23
- 24
- 25
- 26
- 27
- 28
- 29
- 30
- 31
- 32
- 33
- 34
- 35
- 36
- 37
- 38
- 39
- 40
- 41
- 42
- 43
- 44
- 45
- 46
- 47
- 48
- 49
- 50
- 51
- 52
- 53
- 54
- 55
- 56
- 57
- 58
- 59
- 60
- 61
- 62
- 63
- 64
- 65
- 66
- 67
- 68
dfs回溯法github链接
递归法全排列github链接
poj2718代码github链接
如有错误还请大佬指正。
- 如果对
后端、爬虫、数据结构算法等感性趣欢迎关注我的个人公众号交流:bigsai
文章来源: bigsai.blog.csdn.net,作者:Big sai,版权归原作者所有,如需转载,请联系作者。
原文链接:bigsai.blog.csdn.net/article/details/90299747
- 点赞
- 收藏
- 关注作者
评论(0)