leetcode_24. 两两交换链表中的节点
【摘要】 目录
一、题目内容
二、解题思路
三、代码
一、题目内容
给定一个链表,两两交换其中相邻的节点,并返回交换后的链表。
你不能只是单纯的改变节点内部的值,而是需要实际的进行节点交换。
示例 1:
输入:head = [1,2,3,4] 输出:[2,1,4,3]
示例 2:
输入:head = [] 输出:[]
...
目录
一、题目内容
给定一个链表,两两交换其中相邻的节点,并返回交换后的链表。
你不能只是单纯的改变节点内部的值,而是需要实际的进行节点交换。
示例 1:
输入:head = [1,2,3,4]
输出:[2,1,4,3]
示例 2:
输入:head = []
输出:[]
示例 3:
输入:head = [1]
输出:[1]
提示:
链表中节点的数目在范围 [0, 100] 内
0 <= Node.val <= 100
二、解题思路
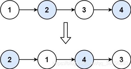
利用一个节点连接一对节点的后者,然后将前者连在后者后面即可。
以示例1为例:(①→②→③→④)==>(②→①→④→③)

三、代码
-
# Definition for singly-linked list.
-
class ListNode:
-
def __init__(self, val=0, next=None):
-
self.val = val
-
self.next = next
-
-
def __repr__(self):
-
return str(self.val)
-
class Solution:
-
def swapPairs(self, head: ListNode) -> ListNode:
-
first = ListNode(0)
-
first.next = head
-
p1 = first
-
while p1.next is not None and p1.next.next is not None:
-
p2 = p1.next
-
p1.next = p2.next
-
p2.next = p2.next.next
-
p1.next.next = p2
-
p1 = p2
-
return first.next
-
-
-
if __name__ == '__main__':
-
a = ListNode(1)
-
a.next = ListNode(2)
-
a.next.next = ListNode(3)
-
a.next.next.next = ListNode(4)
-
-
s = Solution()
-
ans = s.swapPairs(a)
-
print(ans)
文章来源: nickhuang1996.blog.csdn.net,作者:悲恋花丶无心之人,版权归原作者所有,如需转载,请联系作者。
原文链接:nickhuang1996.blog.csdn.net/article/details/109052617
【版权声明】本文为华为云社区用户转载文章,如果您发现本社区中有涉嫌抄袭的内容,欢迎发送邮件进行举报,并提供相关证据,一经查实,本社区将立刻删除涉嫌侵权内容,举报邮箱:
cloudbbs@huaweicloud.com
- 点赞
- 收藏
- 关注作者

评论(0)