xgboost系列丨xgboost原理及公式推导
【摘要】 建树过程中如何选择使用哪个特征哪个值来进行分裂?什么时候停止分裂?如何计算叶节点的权值?建完了第一棵树之后如何建第二棵树?为防止过拟合,XGB做了哪些改进树的集成本文主要针对xgboost的论文原文中的公式细节做了详细的推导,对建树过程进行详细分析。对于样本个数为n特征个数为m的数据集 ,其中。树的集成学习方法使用K个增量函数来预测输出:为子模型的预测函数,每个即是一棵树。函数空间即树的搜索...
-
建树过程中如何选择使用哪个特征哪个值来进行分裂? -
什么时候停止分裂? -
如何计算叶节点的权值? -
建完了第一棵树之后如何建第二棵树? -
为防止过拟合,XGB做了哪些改进
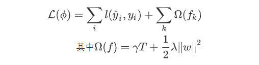
树的集成




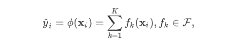
为子模型的预测函数,每个
即是一棵树。















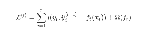
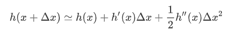
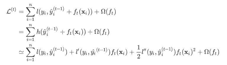
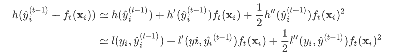
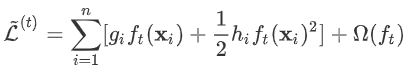
为第t棵树对第i个样本做出的预测。我们每次添加新树的时候,要优化的目标函数为上一个树产生的损失。






































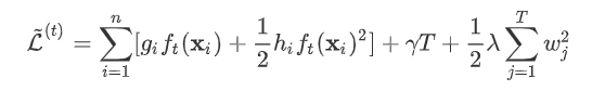
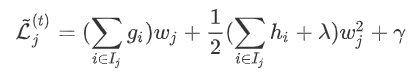
叶节点权重















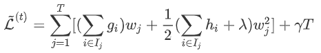
分裂准则













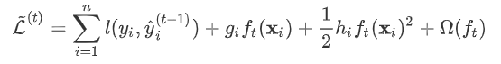
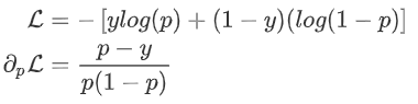
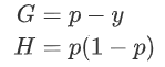
损失函数计算







声明:本文首发于华为NAIE《网络人工智能园地》微信公众号,如有转载,请注明出处。微信公众号二维码为:
本文首发:https://mp.weixin.qq.com/s?__biz=Mzg2MjExMDIzNw==&mid=2247492915&idx=1&sn=49ad15f532ac4b7e3414d5d739dcd065&chksm=ce0e7241f979fb571fc2dc563b7ea1b024bd074b571021f37481c389b466970b7abb17328be2&token=1640375181&lang=zh_CN#rd
【声明】本内容来自华为云开发者社区博主,不代表华为云及华为云开发者社区的观点和立场。转载时必须标注文章的来源(华为云社区)、文章链接、文章作者等基本信息,否则作者和本社区有权追究责任。如果您发现本社区中有涉嫌抄袭的内容,欢迎发送邮件进行举报,并提供相关证据,一经查实,本社区将立刻删除涉嫌侵权内容,举报邮箱:
cloudbbs@huaweicloud.com
- 点赞
- 收藏
- 关注作者
评论(0)