浅谈背景建模和光流估计那些事
前言
浅谈下背景建模和光流估计。

背景建模
1.帧差法
由于场景中的目标在运动,目标的影像在不同图像帧中的位置不同。该类算法对时间上连续的两帧或三帧图像进行差分运算,不同帧对应的像素点相减,判断灰度差的绝对值,当绝对值超过一定阈值时,即可判断为运动目标,从而实现目标的检测功能。

虽然帧间差分法的原理简单,计算量小,能够快速检测出场景中的运动目标。但由实验结果可以看出,帧间差分法检测的目标不完整,内部含有“空洞”,这是因为运动目标在相邻帧之间的位置变化缓慢,目标内部在不同帧图像中相重叠的部分很难检测出来。帧间差分法通常不单独用在目标检测中,往往与其它的检测算法结合使用。
2.混合高斯模型
高斯混合模型(Gaussian Mixture Model)通常简称GMM,是一种业界广泛使用的聚类算法,该方法使用了高斯分布作为参数模型,并使用了期望最大(Expectation Maximization,简称EM)算法进行训练。它首先分布概率是K个高斯分布的和,每个高斯分布有属于自己的 u和 q 参数,以及对应的权重参数,权重值必须为正数,所有权重的和必须等于1,以确保公式给出数值是合理的概率密度值。换句话说如果我们把该公式对应的输入空间合并起来,结果将等于1。
3.匹配方式
在进行前景检测前,先对背景进行训练,对图像中每个背景采用一个混合高斯模型进行模拟,每个背景的混合高斯的个数可以自适应。然后在测试阶段,对新来的像素进行GMM匹配,如果该像素值能够匹配其中一个高斯,则认为是背景,否则认为是前景。由于整个过程GMM模型在不断更新学习中,所以对动态背景有一定的鲁棒性。最后通过对一个有树枝摇摆的动态背景进行前景检测,取得了较好的效果。
在视频中对于像素点的变化情况应当是符合高斯分布

背景的实际分布应当是多个高斯分布混合在一起,每个高斯模型也可以带有权重.

混合高斯模型学习方法(通常只有5个高斯分布)
1.首先初始化每个高斯模型矩阵参数。
2.取视频中T帧数据图像用来训练高斯混合模型。来了第一个像素之后用它来当做第一个高斯分布。
3.当后面来的像素值时,与前面已有的高斯的均值比较,如果该像素点的值与其模型均值差在3倍的方差内,则属于该分布,并对其进行参数更新。
4.如果下一次来的像素不满足当前高斯分布,用它来创建一个新的高斯分布。
混合高斯模型测试方法
在测试阶段,对新来像素点的值与混合高斯模型中的每一个均值进行比较,如果其差值在2倍的方差之间的话,则认为是背景,否则认为是前景。将前景赋值为255,背景赋值为0。这样就形成了一副前景二值图。

代码:
import numpy as np
import cv2
#经典的测试视频
cap = cv2.VideoCapture('test.avi')
#形态学操作需要使用
kernel = cv2.getStructuringElement(cv2.MORPH_ELLIPSE,(3,3))
#创建混合高斯模型用于背景建模
fgbg = cv2.createBackgroundSubtractorMOG2()
while(True): ret, frame = cap.read() fgmask = fgbg.apply(frame) #形态学开运算去噪点 fgmask = cv2.morphologyEx(fgmask, cv2.MORPH_OPEN, kernel) #寻找视频中的轮廓 im, contours, hierarchy = cv2.findContours(fgmask, cv2.RETR_EXTERNAL, cv2.CHAIN_APPROX_SIMPLE) for c in contours: #计算各轮廓的周长 perimeter = cv2.arcLength(c,True) if perimeter > 188: #找到一个直矩形(不会旋转) x,y,w,h = cv2.boundingRect(c) #画出这个矩形 cv2.rectangle(frame,(x,y),(x+w,y+h),(0,255,0),2) cv2.imshow('frame',frame) cv2.imshow('fgmask', fgmask) k = cv2.waitKey(150) & 0xff if k == 27: break
cap.release()
cv2.destroyAllWindows()
- 1
- 2
- 3
- 4
- 5
- 6
- 7
- 8
- 9
- 10
- 11
- 12
- 13
- 14
- 15
- 16
- 17
- 18
- 19
- 20
- 21
- 22
- 23
- 24
- 25
- 26
- 27
- 28
- 29
- 30
- 31
- 32
- 33
- 34
- 35

光流估计
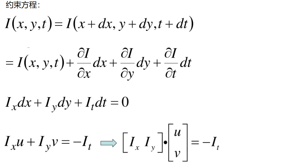
光流是空间运动物体在观测成像平面上的像素运动的“瞬时速度”,根据各个像素点的速度矢量特征,可以对图像进行动态分析,例如目标跟踪。
光流估计具有如下特点:
1.亮度恒定:同一点随着时间的变化,其亮度不会发生改变。
2.小运动:随着时间的变化不会引起位置的剧烈变化,只有小运动情况下才能用前后帧之间单位位置变化引起的灰度变化去近似灰度对位置的偏导数。
3.空间一致:一个场景上邻近的点投影到图像上也是邻近点,且邻近点速度一致。因为光流法基本方程约束只有一个,而要求x,y方向的速度,有两个未知变量。所以需要连立n多个方程求解。

Lucas–Kanade光流算法
在计算机视觉中,Lucas–Kanade光流算法是一种两帧差分的光流估计算法。它由Bruce D. Lucas 和 Takeo Kanade提出。这个算法是最常见,最流行的。它计算两帧在时间t 到t + δt之间每个每个像素点位置的移动。 由于它是基于图像信号的泰勒级数,这种方法称为差分,这就是对于空间和时间坐标使用偏导数。

两个未知数但是有多于两个的方程,这个方程组自然是个超定方程,也就是说方程组内有冗余(将设红色表示5*5的框框,所以总共有25个函数,但是我们只需要求2个未知数),方程组可以表示为:

为了解决这个超定问题,我们采用最小二乘法:

在可逆问题上有80%是不可逆的。我们只计算可逆的。
参数
cv2.calcOpticalFlowPyrLK():
参数:
prevImage 前一帧图像
nextImage 当前帧图像
prevPts 待跟踪的特征点向量
winSize 搜索窗口的大小
maxLevel 最大的金字塔层数
返回:
nextPts 输出跟踪特征点向量
status 特征点是否找到,找到的状态为1,未找到的状态为0
- 1
- 2
- 3
- 4
- 5
- 6
- 7
- 8
- 9
- 10
- 11
- 12
- 13
- 14
- 15
- 16
- 17
- 18
代码
import numpy as np
import cv2
cap = cv2.VideoCapture('test.avi')
# 角点检测所需参数
feature_params = dict( maxCorners = 100, qualityLevel = 0.3, minDistance = 7)
# lucas kanade参数
lk_params = dict( winSize = (15,15), maxLevel = 2)
# 随机颜色条
color = np.random.randint(0,255,(100,3))
# 拿到第一帧图像
ret, old_frame = cap.read()
old_gray = cv2.cvtColor(old_frame, cv2.COLOR_BGR2GRAY)
# 返回所有检测特征点,需要输入图像,角点最大数量(效率),品质因子(特征值越大的越好,来筛选)
# 距离相当于这区间有比这个角点强的,就不要这个弱的了
p0 = cv2.goodFeaturesToTrack(old_gray, mask = None, **feature_params)
# 创建一个mask
mask = np.zeros_like(old_frame)
while(True): ret,frame = cap.read() frame_gray = cv2.cvtColor(frame, cv2.COLOR_BGR2GRAY) # 需要传入前一帧和当前图像以及前一帧检测到的角点 p1, st, err = cv2.calcOpticalFlowPyrLK(old_gray, frame_gray, p0, None, **lk_params) # st=1表示 good_new = p1[st==1] good_old = p0[st==1] # 绘制轨迹 for i,(new,old) in enumerate(zip(good_new,good_old)): a,b = new.ravel() c,d = old.ravel() mask = cv2.line(mask, (a,b),(c,d), color[i].tolist(), 2) frame = cv2.circle(frame,(a,b),5,color[i].tolist(),-1) img = cv2.add(frame,mask) cv2.imshow('frame',img) k = cv2.waitKey(150) & 0xff if k == 27: break # 更新 old_gray = frame_gray.copy() p0 = good_new.reshape(-1,1,2)
cv2.destroyAllWindows()
cap.release()
- 1
- 2
- 3
- 4
- 5
- 6
- 7
- 8
- 9
- 10
- 11
- 12
- 13
- 14
- 15
- 16
- 17
- 18
- 19
- 20
- 21
- 22
- 23
- 24
- 25
- 26
- 27
- 28
- 29
- 30
- 31
- 32
- 33
- 34
- 35
- 36
- 37
- 38
- 39
- 40
- 41
- 42
- 43
- 44
- 45
- 46
- 47
- 48
- 49
- 50
- 51
- 52
- 53
- 54
- 55
- 56
- 57

文章来源: blog.csdn.net,作者:快了的程序猿小可哥,版权归原作者所有,如需转载,请联系作者。
原文链接:blog.csdn.net/qq_35914625/article/details/108298627
- 点赞
- 收藏
- 关注作者
评论(0)