基于惩罚的边界交点(PBI)
【摘要】 1.PBI
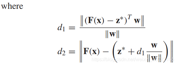
PBI的这种方法是正规边界交点法的一个变体。定义为下:
d1,d2关系如下图:
其中F(x)-Z*是d3的距离,d1是d3的投影。F(x)在w上的投影是P,d2是投影距离(体现多样性,靠近w的点也可以作为选取点, θ相当于惩罚)。d1被用来评价x对EF的收敛性,d2是一种衡量种群多样性的方法。通过将d2的值乘以θ和d1,从而让gpbi(...
1.PBI
PBI的这种方法是正规边界交点法的一个变体。定义为下:


d1,d2关系如下图:

其中F(x)-Z*是d3的距离,d1是d3的投影。F(x)在w上的投影是P,d2是投影距离(体现多样性,靠近w的点也可以作为选取点, θ相当于惩罚)。d1被用来评价x对EF的收敛性,d2是一种衡量种群多样性的方法。通过将d2的值乘以θ和d1,从而让gpbi(x=w,z∗)对x做一种综合测度,兼具收敛性和多样性。在D1和D2之间由参数θ控制,而PBI方法的目标是将F(X)推到尽可能低的地方,使其达到边界。
接下来给出不同θ和W设置下的PBI函数轮廓图。

当θ=1时,角度α=45°,为什么是45度,因为对于等高线0.7是pbi值,而θ=1,pbi=d1+d2,d1=b=0.25√2,d2=a=0.25√2,tanα=θ*d2/d1,所以d2/d1=1=tan45°。注意0.7是pbi值,不是f1,f2的目标函数所计算的值。
文章来源: blog.csdn.net,作者:αβγθ,版权归原作者所有,如需转载,请联系作者。
原文链接:blog.csdn.net/weixin_38022166/article/details/99704491
【版权声明】本文为华为云社区用户转载文章,如果您发现本社区中有涉嫌抄袭的内容,欢迎发送邮件进行举报,并提供相关证据,一经查实,本社区将立刻删除涉嫌侵权内容,举报邮箱:
cloudbbs@huaweicloud.com
- 点赞
- 收藏
- 关注作者
评论(0)