机器学习算法之线性回归的推导及应用
之前说过会陆续写一些基本的机器学习算法的原理、推导和应用的文章,今天开始连载啦。
每篇文章的思路是这样的:
通过实例引入这个算法的使用场景
公式详细推导这个算法的实现原理
借助 Python 类库来进行具体实践
如果大家觉得有哪些可以优化的地方可以留言给我,我会慢慢完善的。再后面会陆续放送各个机器学习算法、深度学习模型及相关的实例实践,希望对大家有帮助。
今天首先讲解最基本的机器学习算法,线性回归。
线性回归是机器学习中最基本的算法了,一般要学习机器学习都要从线性回归开始讲起,本节就对线性回归做一个详细的解释。
实例引入
在讲解线性回归之前,我们首先引入一个实例,张三、李四、王五、赵六都要贷款了,贷款时银行调查了他们的月薪和住房面积等因素,月薪越高,住房面积越大,可贷款金额越多,下面列出来了他们四个人的工资情况、住房面积和可贷款金额的具体情况:
| 姓名 | 工资(元) | 房屋面积(平方) | 可贷款金额(元) |
|---|---|---|---|
| 张三 | 6000 | 58 | 30000 |
| 李四 | 9000 | 77 | 55010 |
| 王五 | 11000 | 89 | 73542 |
| 赵六 | 15000 | 54 | 63201 |
看到了这样的数据,又来了一位孙七,他工资是 12000 元,房屋面积是 60 平,那他大约能贷款多少呢?
思路探索
那这时候应该往哪方面考虑呢?如果我们假定可贷款金额和工资、房屋面积都是线性相关的,要解决这个问题,首先我们想到的应该就是初高中所学的一次函数吧,它的一般表达方式是
,
就是自变量,
就是因变量,
是自变量的系数,
是偏移量,这个式子表明
和
是线性相关的,
会随着
的变化而呈现线性变化。
现在回到我们的问题中,情况稍微不太一样,这个例子中是可贷款金额会随着工资和房屋面积而呈现线性变化,此时如果我们将工资定义为
,房屋面积定义为
,可贷款金额定义为
,那么它们三者的关系就可以表示为:
,这里的自变量就不再是一个了,而是两个,分别是
和
,自变量系数就表示为了
和
,我们将其转化为表达的形式,同时将变量的名字换一下,就成了这个样子:

这里只不过是将原表达式转为函数形式,换了个表示名字,另***数名称从
换成了
,
换成了
,为什么要换?因为在机器学习算法中
用的更广泛一些,约定俗成。
然后这个问题怎么解?我们只需要求得一组近似的
参数使得我们的函数可以拟合已有的数据,然后整个函数表达式就可以表示出来了,然后再将孙七的工资和房屋面积代入进去,就求出来他可以贷款的金额了。
思路拓展
那假如此时情景变一变,变得更复杂一些,可贷款金额不仅仅和工资、房屋面积有关,还有当前存款数、年龄等等因素有关,那我们的表达式应该怎么写?不用担心,我们有几个影响因素,就写定义几个变量,比如我们可以将存款数定义为 ,年龄定义为 ,如果还有其他影响因素我们可以继续接着定义,如果一共有 个影响因素,我们就定义到 ,这时候函数表达式就可以变成这样子了:

这个式子看起来挺长的不好写的吧,我们可以使用求和公式写成如下形式:

如果要使得这个公式成立,这里需要满足一个条件就是
,其实在实际场景中
是不存在的,因为第一个影响因素我们用
来表示了,第二个影响因素我们用
来表示了,依次类推。所以这里我们直接指定
即可。
后来我们又将公式简化为线性代数的向量表示,这里
是
向量转置的结果,而
向量又表示为
,同样地,
向量可以表示为
,总之,表达成后面的式子,看起来更简洁明了。
好了,这就是最基本的线性判别解析函数的写法,是不是很简单。
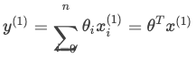
实际求解
那接下来我们怎样实际求解这个问题呢?比如拿张三的数据代入到这个函数表达式中,这里还是假设有两个影响因素,张三的数据我们可以表示为
,注意这里我们在数据的右上角加了一个小括号,里面带有数字,如果我们把张三的数据看成一个条目,那么这个数字就代表了这个条目的序号,1 就代表第一条数据,2 就代表第二条数据,为啥这么写?也是约定俗成,以后也会经常采用这样的写法,记住就好了。
所以,我们的愿景是要使得我们的函数能够拟合当前的这条数据,所以我们希望是这样的情况:

其中
是真实值,但我们知道,哪有那么容易十全十美,丝毫不差的拟合函数,所以上面的式子一般来说是不成立的,函数计算值和真实值还是多少还是有一定的误差的吧,如果我们想知道函数真实拟合的结果的话,我们需要把
变量代入函数,会得到一个函数本身拟合的结果,是这样的:
这里的 就是我们函数得到的结果了。一般来说,二者是会存在一定的误差的,所以误差我们一般可以写成他们的差的绝对值或平方的形式,使用绝对值或平方的目的是消去正负号的影响,比如写成平方的形式就是这样子:
这个式子就是我们函数真实拟合值和真实值之间的差距,没问题吧。
相应的,如果是李四的数据,误差就可以写为:

依次类推,如果是第
条数据,误差就可以写成:

要使得我们的函数对所有的数据都能尽量很好地拟合,我们可以把这些误差加起来求个平均,假设一共
条数据,那么所有数据的误差可以写成如下形式:

注意这里
指的是第几条数据,是从 1 开始的,一直到
为止,然后使用了求和公式对每一条数据的误差进行累加和,最后除以了
,我们的最终目的就是找出合适的
,使得这个
的值最小,即误差最小,在机器学习中,我们就把
称为损失函数(Loss Function),即我们要使得损失值最小。
有的小伙伴可能好奇损失函数前面为什么是
,而不是
?因为我们后面要用到这个算式的导数,所以这里多了个 2 是为了便于求导计算。况且一个表达式要求最小值,前面乘一个常数是对结果没影响的。
求解过程
由于我们求解的是线性回归问题,所以整个损失函数的图像非常简单清晰,如果只有
和
两个参数,我们甚至可以直接画出其图像,整个损失函数大小随
和
的变化实际上类似于这样子:


可以看到这是一个凸函数,竖轴代表损失函数的大小,横纵两轴代表
和
的变化,可见在中间的最低谷损失函数取得最小值,这时候损失函数在
和
上的导数都是 0,因此我们可以一步到位,直接用偏导置零的方式来求解损失函数取得最小值时的
值的大小。
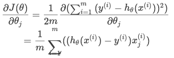
所以我们可以先对每个
求解其偏导结果,这里
表示为
,代表
中的某一维:

直接将偏导置零即可直接求解
:

这里将所有数据代入,即可通过求解方程组的形式直接解出
的值,但这些方程组里面其实
之间存在彼此依赖关系,需要联立求解出来。
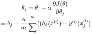
如果不用这种求解方式,我们可以使用梯度下降的方式来进行求解,在这里
只需要逐步更新即可:

这里
就是学习率,
每经过一步都会进行一次更新,得到新的结果,经过梯度下降过程,
都会更新为使得梯度最小化的数值,最后就完成了
的求解。
以上便是线性回归的整个推导和求解过程。
实战操作
现在呢,我们想要根据前面的数据来求解这个真实的问题,为了解决这个问题,我们在这里用 Python 的 Sklearn 库来实现。
对于线性回归来说,Sklearn 已经做好了封装,直接使用 LinearRegression 即可。
它的 API 如下:
class sklearn.linear_model.LinearRegression(fit_intercept=True, normalize=False, copy_X=True, n_jobs=None)
参数解释如下:
fit_intercept : 布尔值,是否使用偏置项,默认是 True。
normalize : 布尔值,是否启用归一化,默认是 False。当 fit_intercept 被置为 False 的时候,这个参数会被忽略。当该参数为 True 时,数据会被归一化处理。
copy_X : 布尔值,默认是 True,如果为 True,x 参数会被拷贝不会影响原来的值,否则会被复写。
n_jobs:数值或者布尔,如果设置了,则多核并行处理。
属性如下:
coef_:x 的权重系数大小
intercept_:偏置项大小
代码实现如下:
from sklearn.linear_model import LinearRegression
x_data = [
[6000, 58],
[9000, 77],
[11000, 89],
[15000, 54]
]
y_data = [
30000, 55010, 73542, 63201
]
lr = LinearRegression()
lr.fit(x_data, y_data)
print('方程为:y={w1}x1+{w2}x2+{b}'.format(w1=round(lr.coef_[0], 2),
w2=round(lr.coef_[1], 2),
b=lr.intercept_))
x_test = [[12000, 60]]
print('住房面积为:', lr.predict(x_test)[0])
运行结果:
方程为:y=4.06x1+743.15x2+-37831.862532707615
住房面积为:55484.33779181102
在这里我们首先声明了 LinearRegression 对象,然后将数据整合成 x_data 和 y_data 的形式,然后通过调用 fit() 方法来对数据进行拟合。
拟合完毕之后,LinearRegression 的 coef_ 对象就是各个 x 变量的权重大小,即对应着 ,intercept_ 则是偏移量,对应着 ,这样我们就可以得到一个线性回归表达式了。
然后我们再调用 predict() 方法,将新的测试数据传入,便可以得到其预测结果,最终结果为 55484.34,即孙七的可贷款额度为 55484.34 元。
以上便是机器学习中线性回归算法的推导解析和相关调用实现。
| 转载声明:本文转载自公众号【进击的Coder】。 |
原文链接:https://mp.weixin.qq.com/s/7uzJRAHPT0Oidq_yAxfecw
- 点赞
- 收藏
- 关注作者
评论(0)